26年高三邯郸第一次模拟考试

四季读书网 13 0
26年高三邯郸第一次模拟考试
26年高三邯郸第一次模拟考试 第1张
26年高三邯郸第一次模拟考试 第2张
26年高三邯郸第一次模拟考试 第3张
26年高三邯郸第一次模拟考试 第4张
26年高三邯郸第一次模拟考试 第5张
26年高三邯郸第一次模拟考试 第6张
26年高三邯郸第一次模拟考试 第7张
题目没有偏难怪,考察基本功,就几道题的解法简单分享一下
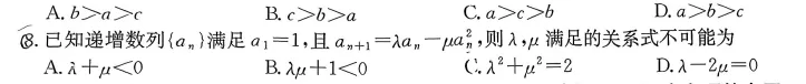
第8题,带着参数,比较新颖的风格
26年高三邯郸第一次模拟考试 第8张
26年高三邯郸第一次模拟考试 第9张
26年高三邯郸第一次模拟考试 第10张
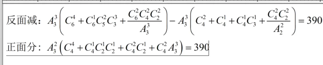
这个可以正面分类也可反面减去
反面减是总数减去在一起的方法数,正面分是先保证两个女性去两个地方,再把剩余的4人,分成1个地方,2个地方,3个地方
26年高三邯郸第一次模拟考试 第11张
18题一个正常的非对称韦达定理处理即可,需要了解详情的可以留言,抽空单独写一个
26年高三邯郸第一次模拟考试 第12张
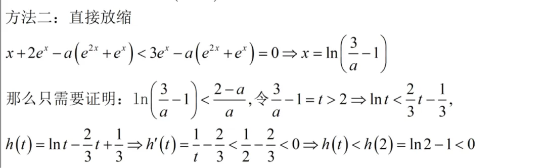
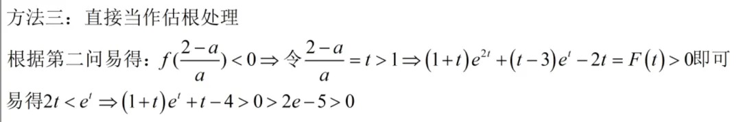
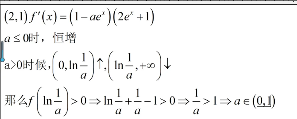
这个第一问:主元法即可,第二问直接求导即可,第二问第二小问可以放缩,可以恒等变换,也可以利用估根,都可以
26年高三邯郸第一次模拟考试 第13张
26年高三邯郸第一次模拟考试 第14张
26年高三邯郸第一次模拟考试 第15张
26年高三邯郸第一次模拟考试 第16张

抱歉,评论功能暂时关闭!