数列前n项和题型探究及高考、诊断真题过关

四季读书网 13 0
数列前n项和题型探究及高考、诊断真题过关
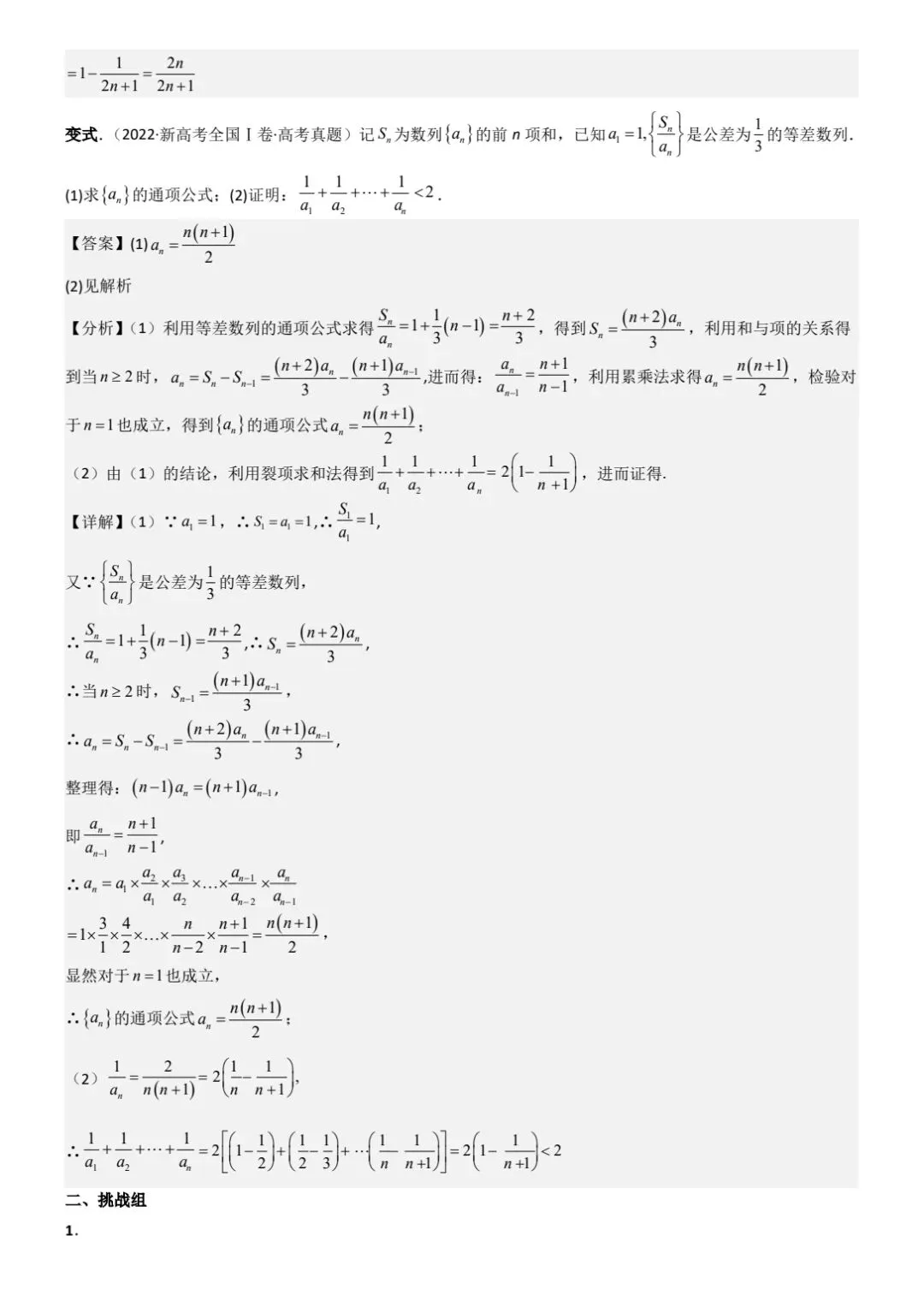
数列前n项和题型探究及高考、诊断真题过关 第1张
数列前n项和题型探究及高考、诊断真题过关 第2张
数列前n项和题型探究及高考、诊断真题过关 第3张
数列前n项和题型探究及高考、诊断真题过关 第4张
数列前n项和题型探究及高考、诊断真题过关 第5张
数列前n项和题型探究及高考、诊断真题过关 第6张
数列前n项和题型探究及高考、诊断真题过关 第7张
数列前n项和题型探究及高考、诊断真题过关 第8张
数列前n项和题型探究及高考、诊断真题过关 第9张
数列前n项和题型探究及高考、诊断真题过关 第10张
数列前n项和题型探究及高考、诊断真题过关 第11张
数列前n项和题型探究及高考、诊断真题过关 第12张
数列前n项和题型探究及高考、诊断真题过关 第13张
数列前n项和题型探究及高考、诊断真题过关 第14张
数列前n项和题型探究及高考、诊断真题过关 第15张
数列前n项和题型探究及高考、诊断真题过关 第16张
数列前n项和题型探究及高考、诊断真题过关 第17张

抱歉,评论功能暂时关闭!