2026年上海市高三数学竞赛试卷及解析!!

四季读书网 11 0
2026年上海市高三数学竞赛试卷及解析!!
2026年上海市高三数学竞赛试卷及解析!! 第1张
2026年上海市高三数学竞赛试卷及解析!! 第2张
2026年上海市高三数学竞赛试卷及解析!! 第3张
2026年上海市高三数学竞赛试卷及解析!! 第4张
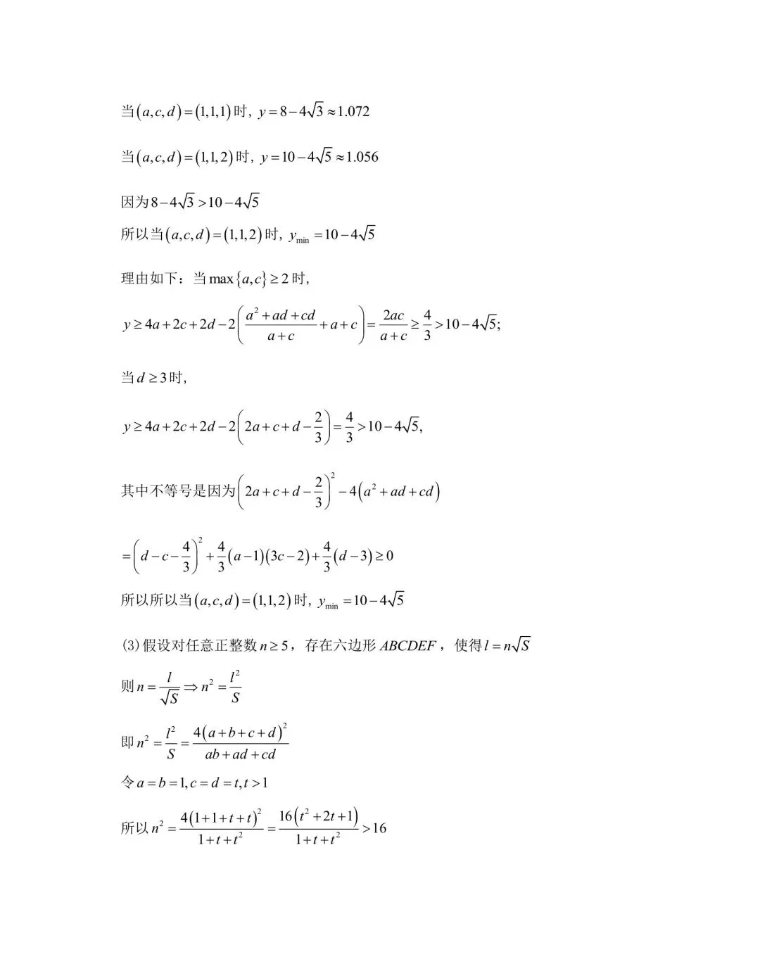
2026年上海市高三数学竞赛试卷及解析!! 第5张
2026年上海市高三数学竞赛试卷及解析!! 第6张
2026年上海市高三数学竞赛试卷及解析!! 第7张
2026年上海市高三数学竞赛试卷及解析!! 第8张
2026年上海市高三数学竞赛试卷及解析!! 第9张
2026年上海市高三数学竞赛试卷及解析!! 第10张

抱歉,评论功能暂时关闭!