【3062】2026届甘肃省高三第一次模拟考试 电子版免费下载

四季读书网 13 0
【3062】2026届甘肃省高三第一次模拟考试 电子版免费下载

下载电子版+答案 滑文末查看

今日更新目录
【3062】2026届甘肃省高三第一次模拟考试 电子版免费下载 第1张

试卷展示

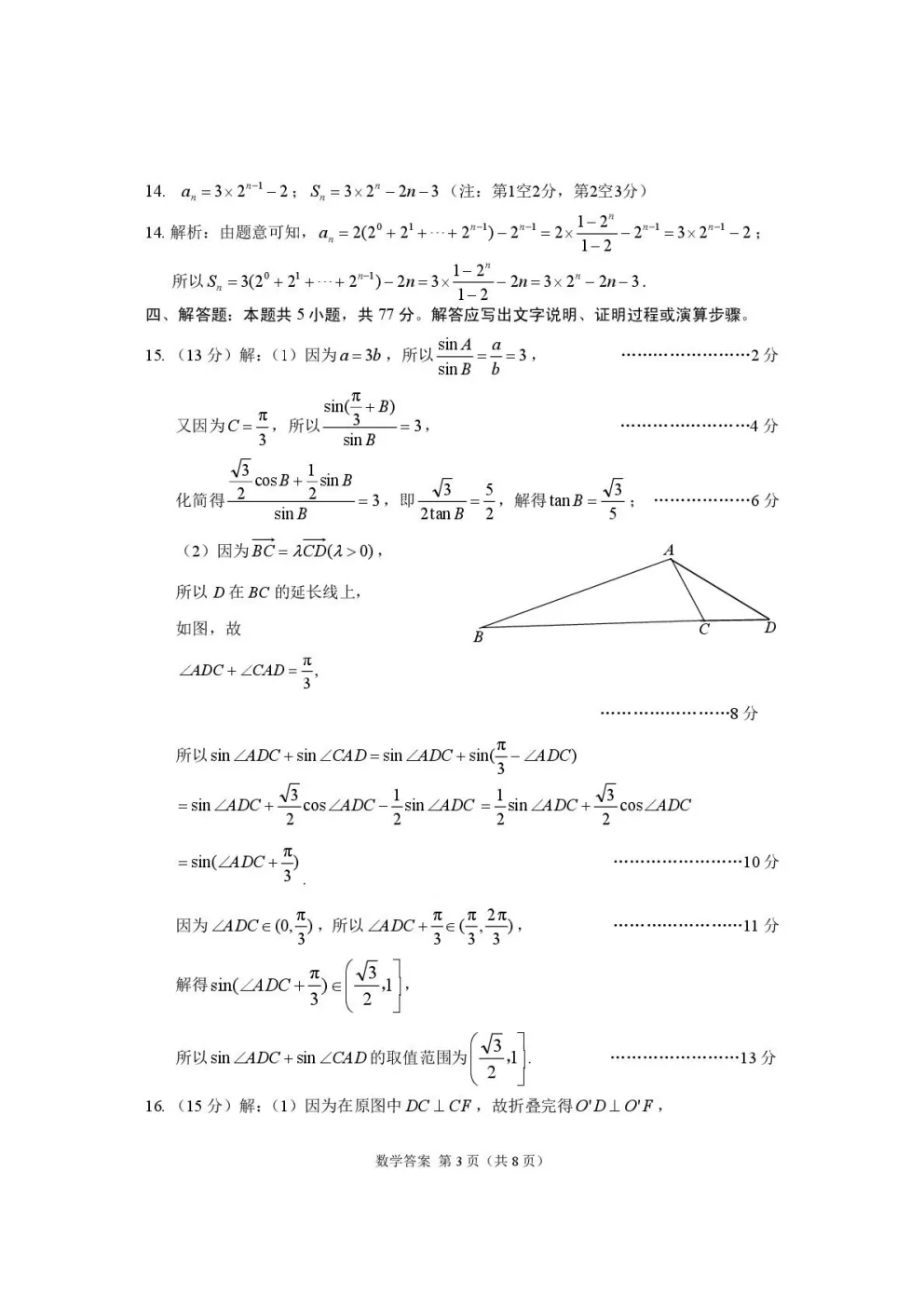
【3062】2026届甘肃省高三第一次模拟考试 电子版免费下载 第2张
【3062】2026届甘肃省高三第一次模拟考试 电子版免费下载 第3张
【3062】2026届甘肃省高三第一次模拟考试 电子版免费下载 第4张
【3062】2026届甘肃省高三第一次模拟考试 电子版免费下载 第5张
【3062】2026届甘肃省高三第一次模拟考试 电子版免费下载 第6张
【3062】2026届甘肃省高三第一次模拟考试 电子版免费下载 第7张
【3062】2026届甘肃省高三第一次模拟考试 电子版免费下载 第8张
【3062】2026届甘肃省高三第一次模拟考试 电子版免费下载 第9张
【3062】2026届甘肃省高三第一次模拟考试 电子版免费下载 第10张
【3062】2026届甘肃省高三第一次模拟考试 电子版免费下载 第11张
【3062】2026届甘肃省高三第一次模拟考试 电子版免费下载 第12张
【3062】2026届甘肃省高三第一次模拟考试 电子版免费下载 第13张
【3062】2026届甘肃省高三第一次模拟考试 电子版免费下载 第14张

上下滚动查看更多


电子版下载

☞【下载入口】

抱歉,评论功能暂时关闭!