【本套试卷全部科目下载|扫码下载】

【2026年3月各地试卷合集下载】
夸克链接:
https://pan.quark.cn/s/55bb207536d6
【历年各地试卷合集无水印下载5000套+】
【高中资料群】高三、高二、高一各年级资料,实时更新,绝对不容错过!
【部分内容展示】











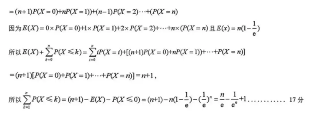
高中试卷免费下载

高中试卷免费下载
「2026年3月」
链接:https://pan.quark.cn/s/9c5e1e78414a
「2026年2月」
链接:https://pan.quark.cn/s/06d4d017c175
「2026年1月」
链接:https://pan.quark.cn/s/1796ad016523
「2025年12月」
链接:https://pan.quark.cn/s/a4a22285ef68
「2025年11月」
链接:https://pan.quark.cn/s/2090c82cf325
「2025年10月」
链接:https://pan.quark.cn/s/f43e8ede6f4e
「2025年9月」
链接:https://pan.quark.cn/s/0d57fcebb6be
「2025年8月」
链接:https://pan.quark.cn/s/d3dd91667ffc
「2025年7月」
链接:https://pan.quark.cn/s/6a11786b1f70
「2025年6月」
链接:https://pan.quark.cn/s/904ac0877402
「2025年5月」
链接:https://pan.quark.cn/s/f4219d4346fe
「2025年4月」
链接:https://pan.quark.cn/s/d40039132252
「2025年3月」
链接:https://pan.quark.cn/s/70f269a9476c
「2025年2月」
链接:https://pan.quark.cn/s/8f32d7d7b74d
「2025年1月」
链接:https://pan.quark.cn/s/acf7b6e96051

