3月17-19日,苏州、无锡、常州、镇江四市考生将迎来苏锡常镇一模,模考成绩对强基综评招生非常重要,计划走特招的考生务必重视,往年真题是学生练习备考的最佳利器,江苏学生圈团队为大家整理了2024届苏锡常镇一模真题及答案供大家练习使用,包含数学、语文、英语、物理、化学、历史、生物、地理、政治等科目,一起来看。









向右滑动查看更多 >>
🎯由于篇幅有限,仅展示部分数学卷及答案,其他科目请关注“江苏学生圈”,回复【苏锡常镇一模】6个字即可领取电子版👇

这份2024届苏锡常镇高三数学调研卷整体难度中等偏上,具有较强的选拔性和区分度。
试卷结构稳定,覆盖全面:全卷延续了江苏高考的典型结构,包含8道单选、3道多选、3道填空和5道解答题。知识点覆盖全面,函数与导数、三角函数、数列、立体几何、解析几何、概率统计等主干内容均有涉及,且权重合理。
基础与能力并重,创新题有亮点:前几道单选题(如集合、二项式定理、向量、正态分布)较为基础,旨在考查基本概念和运算能力。但从第6题的双曲线离心率、第7题的新定义“莱莫恩线”开始,思维量和计算量明显提升,要求学生具备较强的知识迁移和即时学习能力。第11题立体几何动态问题、第14题抛物线综合题,都对空间想象和代数运算提出了较高要求。
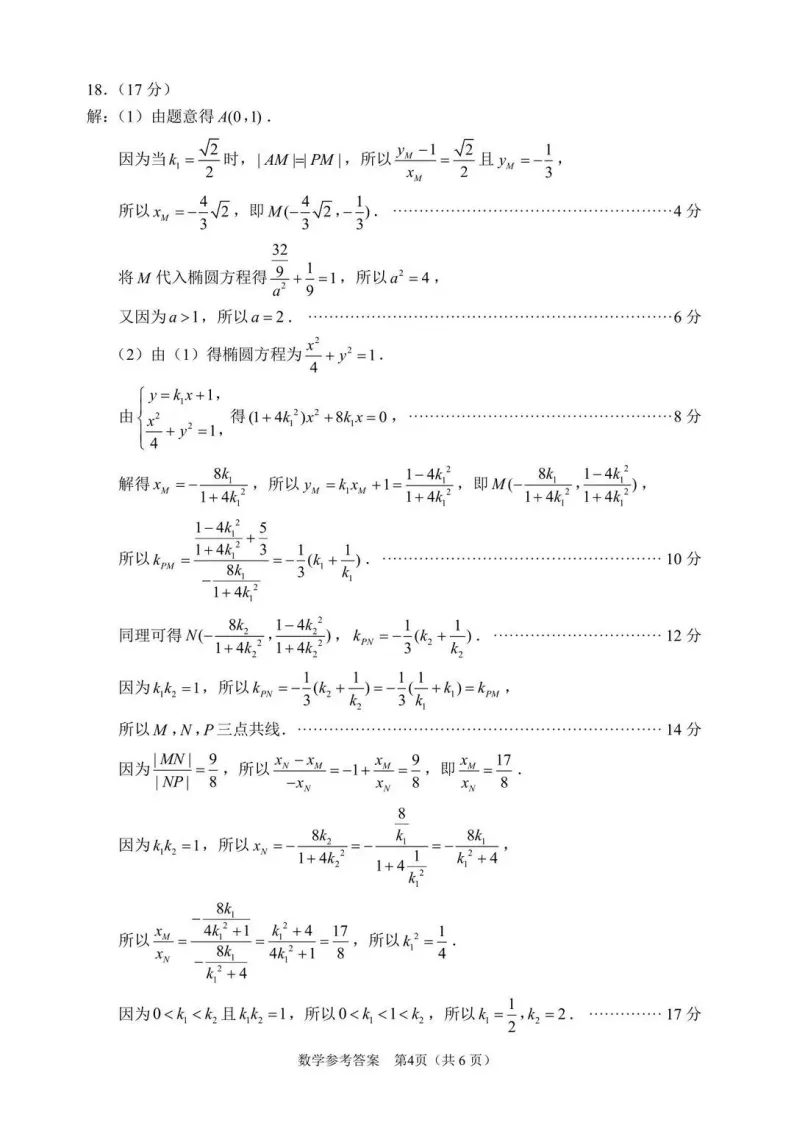
压轴题综合性强:第18题解析几何将椭圆与直线、长度关系结合,第19题导数题涉及双切线问题和不等式存在性求参,这两道题逻辑链条长、分类讨论复杂,是试卷的难点所在,对学生的数学抽象、逻辑推理和数学运算核心素养提出了很高挑战。
欢迎转发给有需要的家长!


声明:本文内容由江苏学生圈(ID:jsgkxsq)综合整理制作,信息来源于网络。若有侵权问题,请及时联系我们。




