【甘肃】2026届高三数学第一次模拟考试试卷+答案

四季读书网 10 0
【甘肃】2026届高三数学第一次模拟考试试卷+答案
【甘肃】2026届高三数学第一次模拟考试试卷+答案 第1张
【甘肃】2026届高三数学第一次模拟考试试卷+答案 第2张
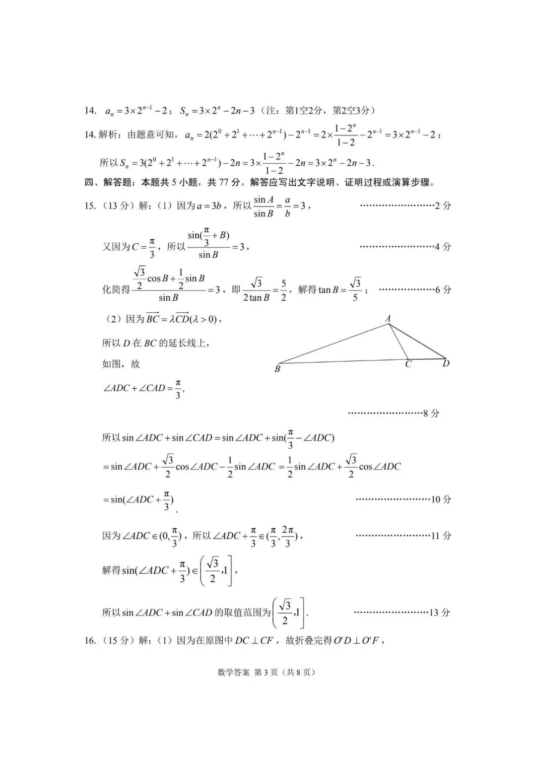
【甘肃】2026届高三数学第一次模拟考试试卷+答案 第3张
【甘肃】2026届高三数学第一次模拟考试试卷+答案 第4张
【甘肃】2026届高三数学第一次模拟考试试卷+答案 第5张
【甘肃】2026届高三数学第一次模拟考试试卷+答案 第6张
【甘肃】2026届高三数学第一次模拟考试试卷+答案 第7张
【甘肃】2026届高三数学第一次模拟考试试卷+答案 第8张
【甘肃】2026届高三数学第一次模拟考试试卷+答案 第9张
【甘肃】2026届高三数学第一次模拟考试试卷+答案 第10张

抱歉,评论功能暂时关闭!