2001年高考数学试卷是一份经典的“基础+能力”导向试卷:既保证了大部分考生能拿到基础分,又通过综合题实现了优秀学生的选拔,对后续高考命题产生了深远影响。
试卷分析与点评
一、试卷整体结构与难度分布
2001年高考数学试卷(全国卷)总分150分,结构清晰,梯度明显:
第I卷(选择题):12小题,每题5分,共60分,侧重基础概念与快速运算,难度以“容易—中等”为主,少量“较难”题目(如信息传递题、屋顶面积题)。
第II卷(非选择题):4道填空题(每题4分,共16分)+6道解答题(共74分),侧重逻辑推理、综合应用与数学思想,难度梯度从“中等”延伸至“较难”,压轴题(如双曲线积分、空间向量二面角)区分度显著。
整体难度定位为中等偏上,既覆盖了基础知识点的全面考查,又通过综合题实现了选拔功能,符合高考“立足基础、突出能力”的命题导向。
二、命题亮点
贴近实际应用:如信息传递网络、民房屋顶面积、电厂冷却塔等题目,将数学知识与工程、生活场景结合,考查建模与应用能力。
突出思想方法:分类讨论(分式不等式求解)、数形结合(解析几何、立体几何)、转化与化归(二面角转化为向量夹角)等核心思想贯穿全卷。
强调逻辑推理:解答题要求完整的证明与演算步骤,如“证明4个交点共圆”“证明函数单调性”,注重过程性评价。
三、典型题目深度点评
(I)基础题:送分但易错
三角函数周期题:直接考查正弦型函数y=Asin(omegax+varphi)的周期公式T与振幅定义,属于“送分题”,但需注意振幅为正数(排除负号选项)。
数列判断题:由前n项和Sn=n^2求通项an=2n1,判断等差/等比,核心是“等差看差、等比看比”的基本方法,容易因忽略n=1单独验证而出错。
(II)中等题:区分度核心
圆的方程题:结合“过两点+圆心在直线上”,考查垂直平分线与直线交点求圆心,再算半径,是解析几何的经典题型,能有效区分基础扎实程度。
概率题:系统N1(串联)与N2(串并联混合)的概率计算,需要理解“独立事件同时发生”“至少一个发生”的概率公式,是概率应用的典型考法。
(III)较难题:选拔性体现
信息传递题:需要识别“最大信息流=各路径瓶颈之和”,考查阅读理解与建模能力,容易因误读“同时传递”而出错。
双曲线积分题:先建立坐标系求双曲线方程,再用定积分计算旋转体体积,是解析几何与微积分的综合应用,对运算能力要求极高。
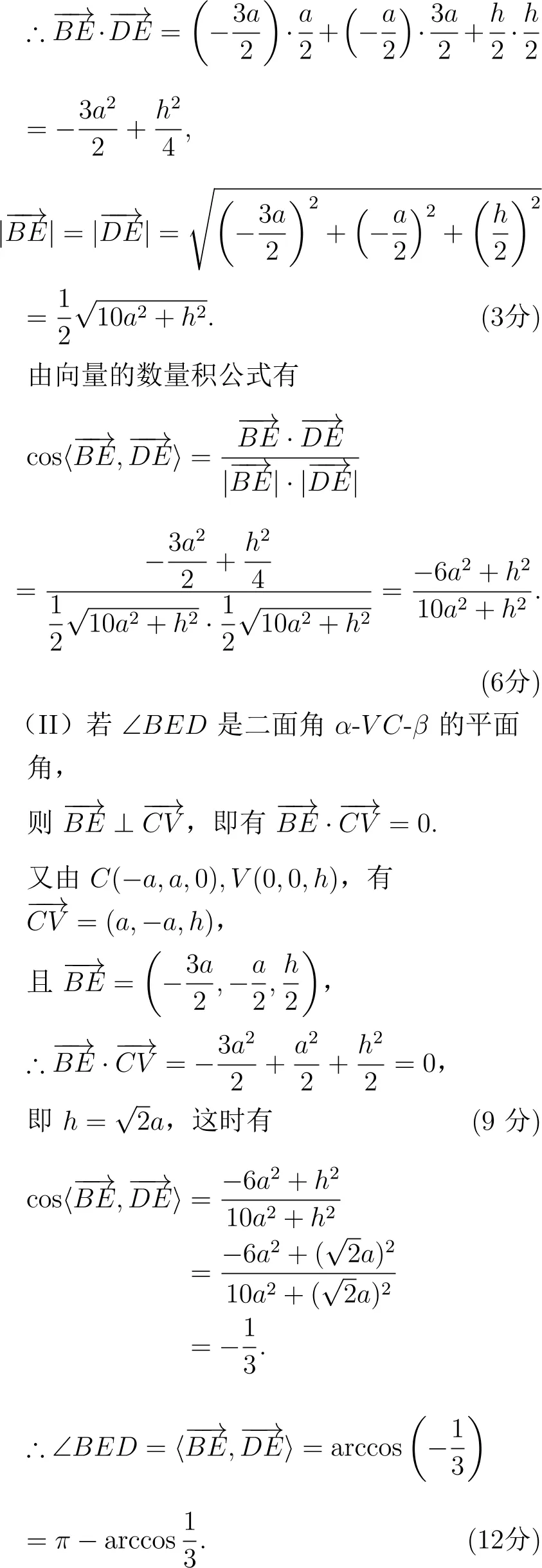
空间向量题:正四棱锥中用向量求二面角,需要建立坐标系、表示向量、计算数量积,是立体几何向量化的典型考法,能区分空间想象与代数运算能力。
试题详解


















推荐阅读