万众瞩目的武汉三调数学试卷及答案

四季读书网 14 0
万众瞩目的武汉三调数学试卷及答案
万众瞩目的武汉三调数学试卷及答案 第1张
万众瞩目的武汉三调数学试卷及答案 第2张
万众瞩目的武汉三调数学试卷及答案 第3张
万众瞩目的武汉三调数学试卷及答案 第4张
万众瞩目的武汉三调数学试卷及答案 第5张
万众瞩目的武汉三调数学试卷及答案 第6张
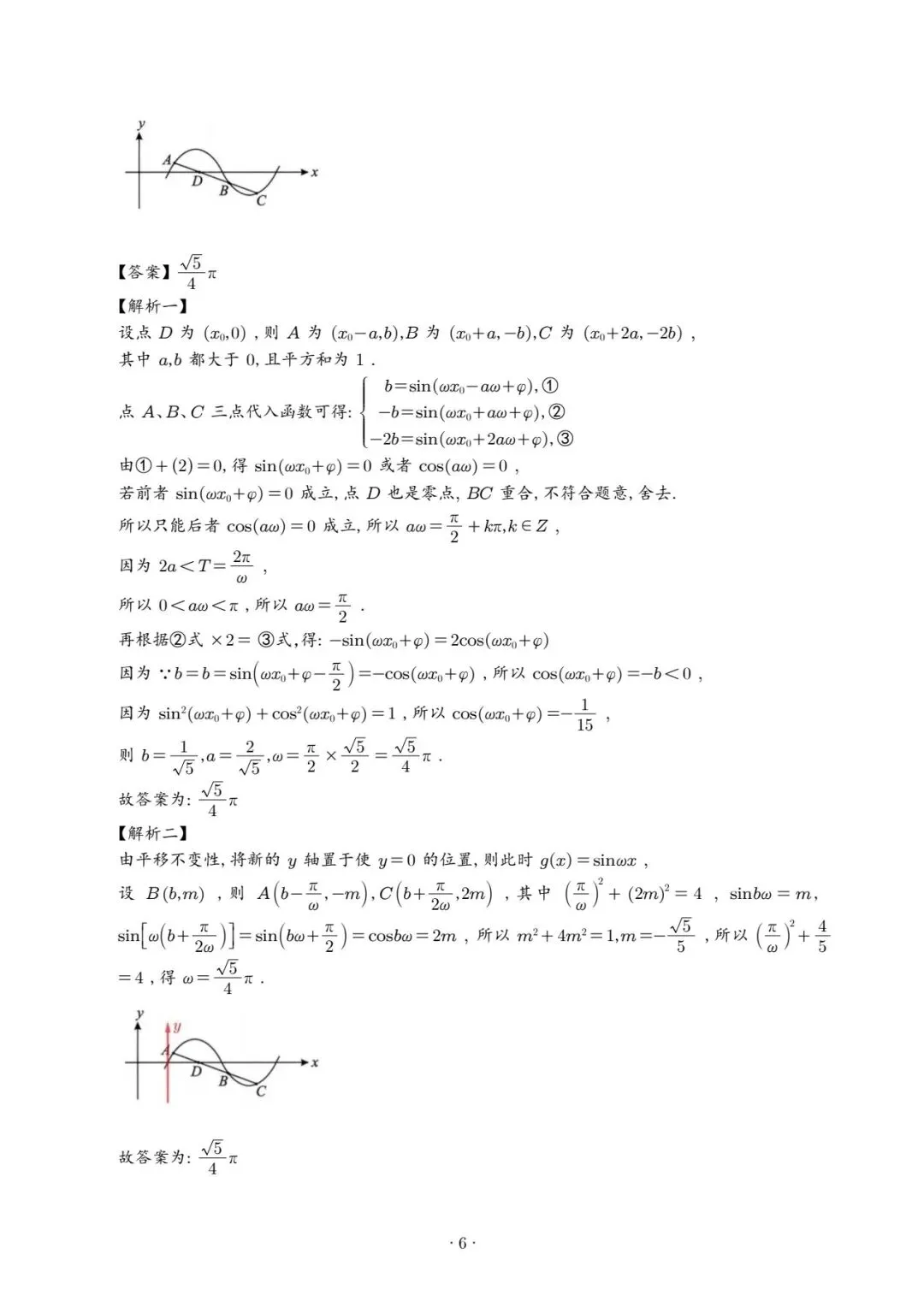
万众瞩目的武汉三调数学试卷及答案 第7张
万众瞩目的武汉三调数学试卷及答案 第8张
万众瞩目的武汉三调数学试卷及答案 第9张
万众瞩目的武汉三调数学试卷及答案 第10张
万众瞩目的武汉三调数学试卷及答案 第11张
万众瞩目的武汉三调数学试卷及答案 第12张
万众瞩目的武汉三调数学试卷及答案 第13张
万众瞩目的武汉三调数学试卷及答案 第14张

抱歉,评论功能暂时关闭!