【高三】山西省大同市2026届高三第一次模拟考试质量监测数学含答案(word版)

四季读书网 12 0
【高三】山西省大同市2026届高三第一次模拟考试质量监测数学含答案(word版)

【文末附电子版获取方式】

【高三】山西省大同市2026届高三第一次模拟考试质量监测数学含答案(word版) 第1张
【高三】山西省大同市2026届高三第一次模拟考试质量监测数学含答案(word版) 第2张
【高三】山西省大同市2026届高三第一次模拟考试质量监测数学含答案(word版) 第3张
【高三】山西省大同市2026届高三第一次模拟考试质量监测数学含答案(word版) 第4张
【高三】山西省大同市2026届高三第一次模拟考试质量监测数学含答案(word版) 第5张
【高三】山西省大同市2026届高三第一次模拟考试质量监测数学含答案(word版) 第6张
【高三】山西省大同市2026届高三第一次模拟考试质量监测数学含答案(word版) 第7张
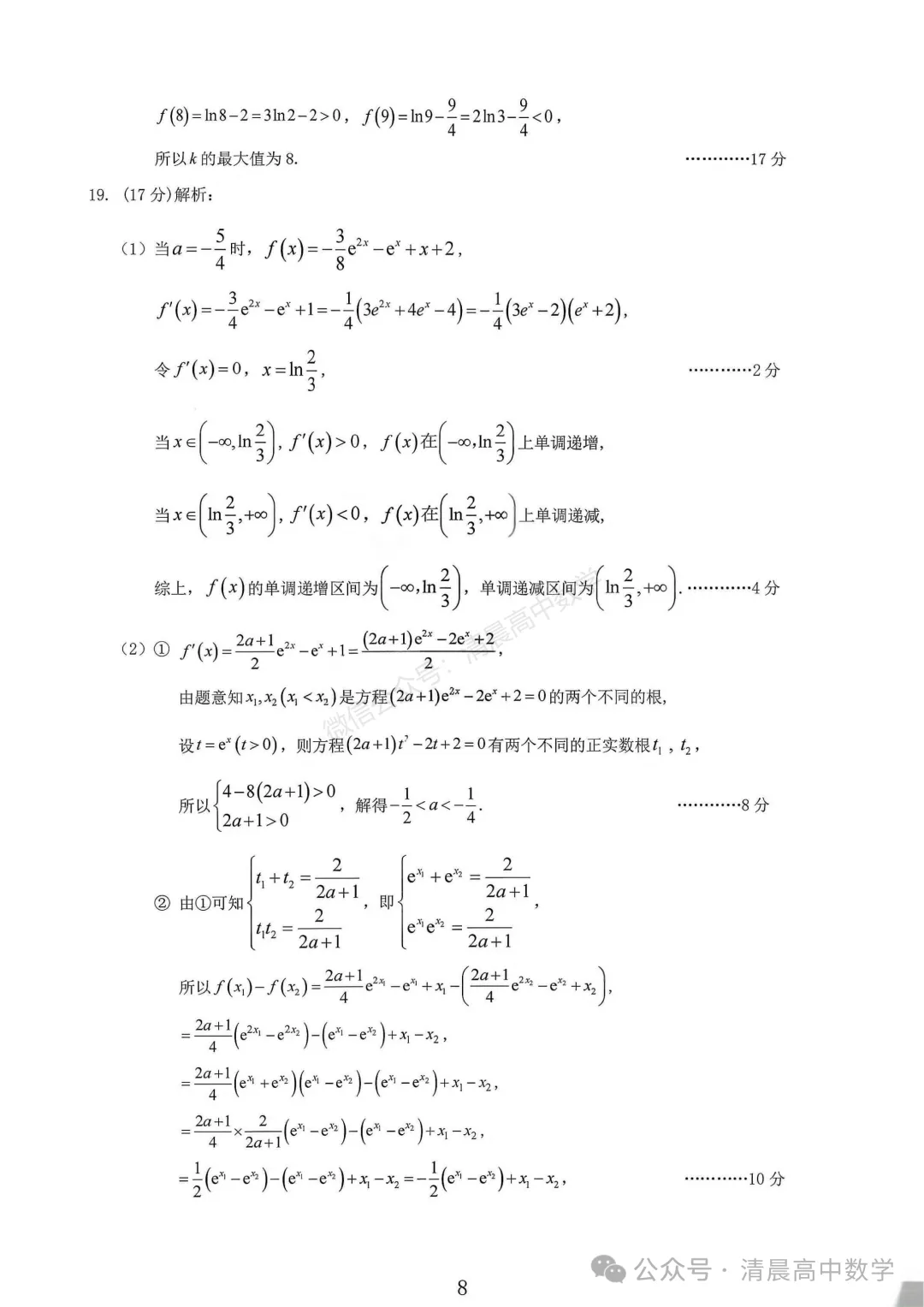
【高三】山西省大同市2026届高三第一次模拟考试质量监测数学含答案(word版) 第8张
【高三】山西省大同市2026届高三第一次模拟考试质量监测数学含答案(word版) 第9张
【高三】山西省大同市2026届高三第一次模拟考试质量监测数学含答案(word版) 第10张
【高三】山西省大同市2026届高三第一次模拟考试质量监测数学含答案(word版) 第11张
【高三】山西省大同市2026届高三第一次模拟考试质量监测数学含答案(word版) 第12张
【高三】山西省大同市2026届高三第一次模拟考试质量监测数学含答案(word版) 第13张
【高三】山西省大同市2026届高三第一次模拟考试质量监测数学含答案(word版) 第14张

无水印电子版已上传至【26届高考数学会员群】

【点击下图】了解【高考数学会员群】

【高三】山西省大同市2026届高三第一次模拟考试质量监测数学含答案(word版) 第15张

【欢迎添加微信(gaokao34),更多精品资料请留意朋友圈动态】

【高三】山西省大同市2026届高三第一次模拟考试质量监测数学含答案(word版) 第16张

抱歉,评论功能暂时关闭!