2026年奉贤区初三一模数学试卷及参考答案

四季读书网 12 0
2026年奉贤区初三一模数学试卷及参考答案
2026年奉贤区初三一模数学试卷及参考答案 第1张
2026年奉贤区初三一模数学试卷及参考答案 第2张
2026年奉贤区初三一模数学试卷及参考答案 第3张
2026年奉贤区初三一模数学试卷及参考答案 第4张
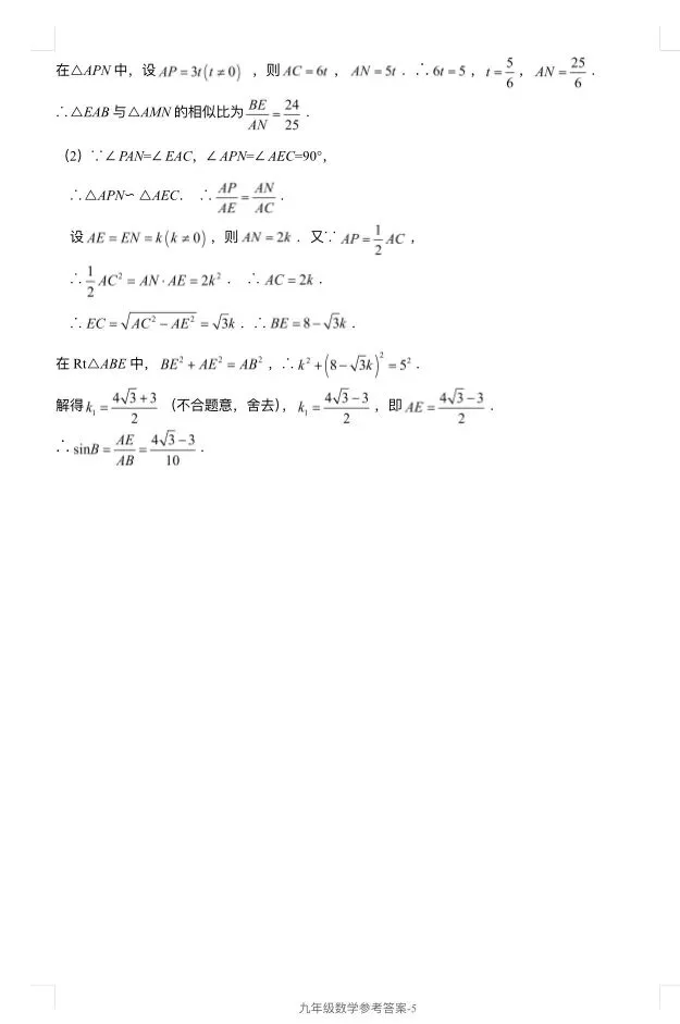
2026年奉贤区初三一模数学试卷及参考答案 第5张
2026年奉贤区初三一模数学试卷及参考答案 第6张
2026年奉贤区初三一模数学试卷及参考答案 第7张
2026年奉贤区初三一模数学试卷及参考答案 第8张
2026年奉贤区初三一模数学试卷及参考答案 第9张

抱歉,评论功能暂时关闭!