上海市2026年中考数学模拟试卷6及答案(2026.3)

四季读书网 12 0
上海市2026年中考数学模拟试卷6及答案(2026.3)
点击上面蓝字关注我们,获取最新资料
上海市2026年中考数学模拟试卷6及答案(2026.3)
上海市2026年中考数学模拟试卷6及答案(2026.3) 第1张
上海市2026年中考数学模拟试卷6及答案(2026.3) 第2张
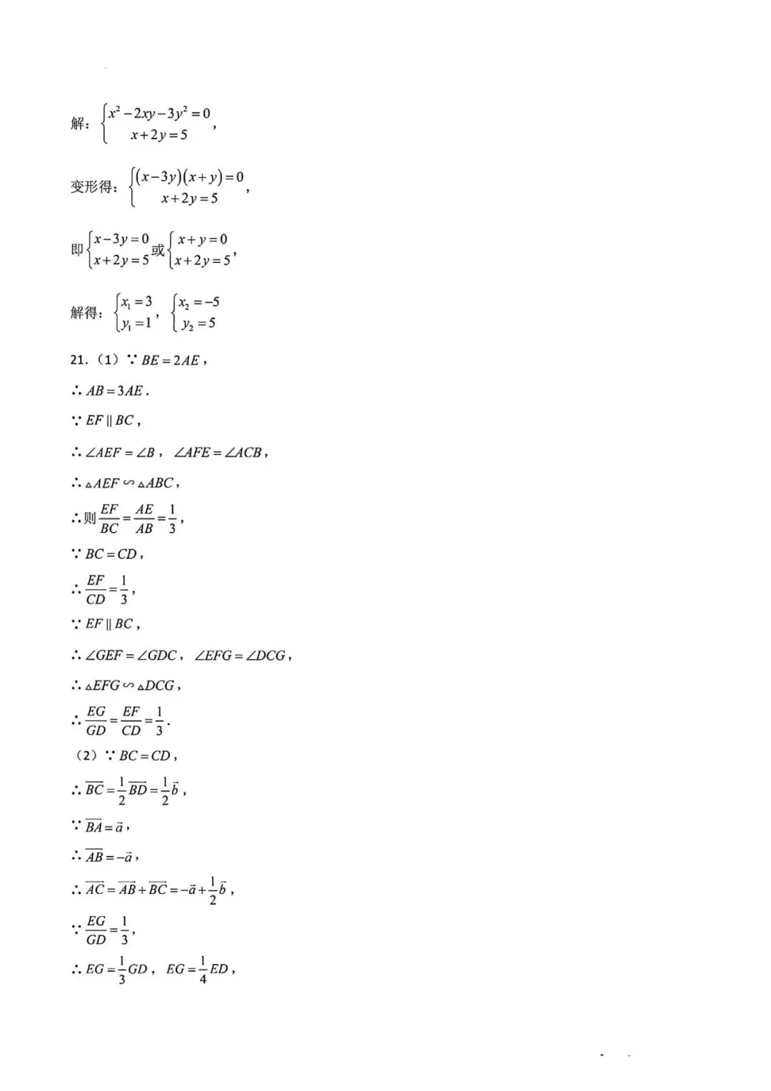
上海市2026年中考数学模拟试卷6及答案(2026.3) 第3张
上海市2026年中考数学模拟试卷6及答案(2026.3) 第4张
上海市2026年中考数学模拟试卷6及答案(2026.3) 第5张
上海市2026年中考数学模拟试卷6及答案(2026.3) 第6张
上海市2026年中考数学模拟试卷6及答案(2026.3) 第7张
上海市2026年中考数学模拟试卷6及答案(2026.3) 第8张
上海市2026年中考数学模拟试卷6及答案(2026.3) 第9张
上海市2026年中考数学模拟试卷6及答案(2026.3) 第10张
上海市2026年中考数学模拟试卷6及答案(2026.3) 第11张
上海市2026年中考数学模拟试卷6及答案(2026.3) 第12张
上海市2026年中考数学模拟试卷6及答案(2026.3) 第13张
上海市2026年中考数学模拟试卷6及答案(2026.3) 第14张
上海市2026年中考数学模拟试卷6及答案(2026.3) 第15张
上海市2026年中考数学模拟试卷6及答案(2026.3) 第16张
上海市2026年中考数学模拟试卷6及答案(2026.3) 第17张
英语补课推荐:上海市10年+资深小初高英语老师推荐
关注魔都书院,获取最新资料:
整理不易,走过路过的朋友给来个点赞转发推荐,感谢上海市2026年中考数学模拟试卷6及答案(2026.3) 第18张

抱歉,评论功能暂时关闭!