我很好奇,为何每届武汉调考的卷子跟高考都没啥关系,但热度一直如此之高呢?
武汉的卷子真是一次又一次刷新难度啊,这真的是给即将参加高考的学生做的?确定不是拿错了数竞的卷子?个人觉得只有不到5%的学生才适合做这套试卷,甚至更低!
试卷新意很足,同时计算量与思维量非常大!小题从第3题开始需要动笔计算了,4.5.6.7都是非常考验数学思维的好题,对于普通学生,也已经足够拉开差距。8.11.14没有一个轻松的,8题计算量巨大,14题非常考验注意力。

大题题量很足,从16题开始设置了3小问,相较老高考,题量居然还多一些,但每题均很出色。值得一提的是,19题居然重启了新定义。
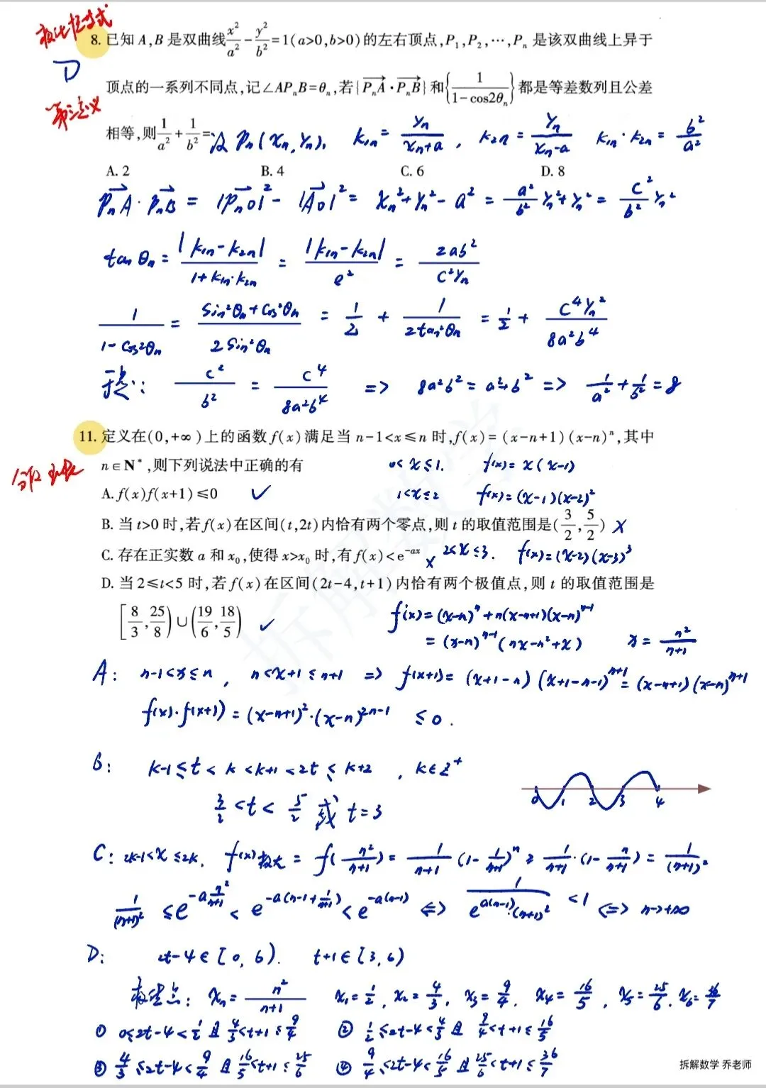
我们看看关键题位分析,第8题,这种题型设置,个人觉得有种“屎上雕花”的感觉,从题干结构可以联想到极化恒等式与第三定义,但除了这个思路还有其他方向吗?是为了增加计算量,故意设置如此复杂的障碍,意义何在?

第11题,分段函数的问题,非常不错的题型设置,不过B.D两个选项是否在重复一个考点?解不等式?C选项非常考验不等式功底了。

第14题,就非常考验三角函数功底了,需要注意到AB两点横向距离是半个周期,后续的设点计算就顺利了很多,印象中武汉调考考过类似的题。

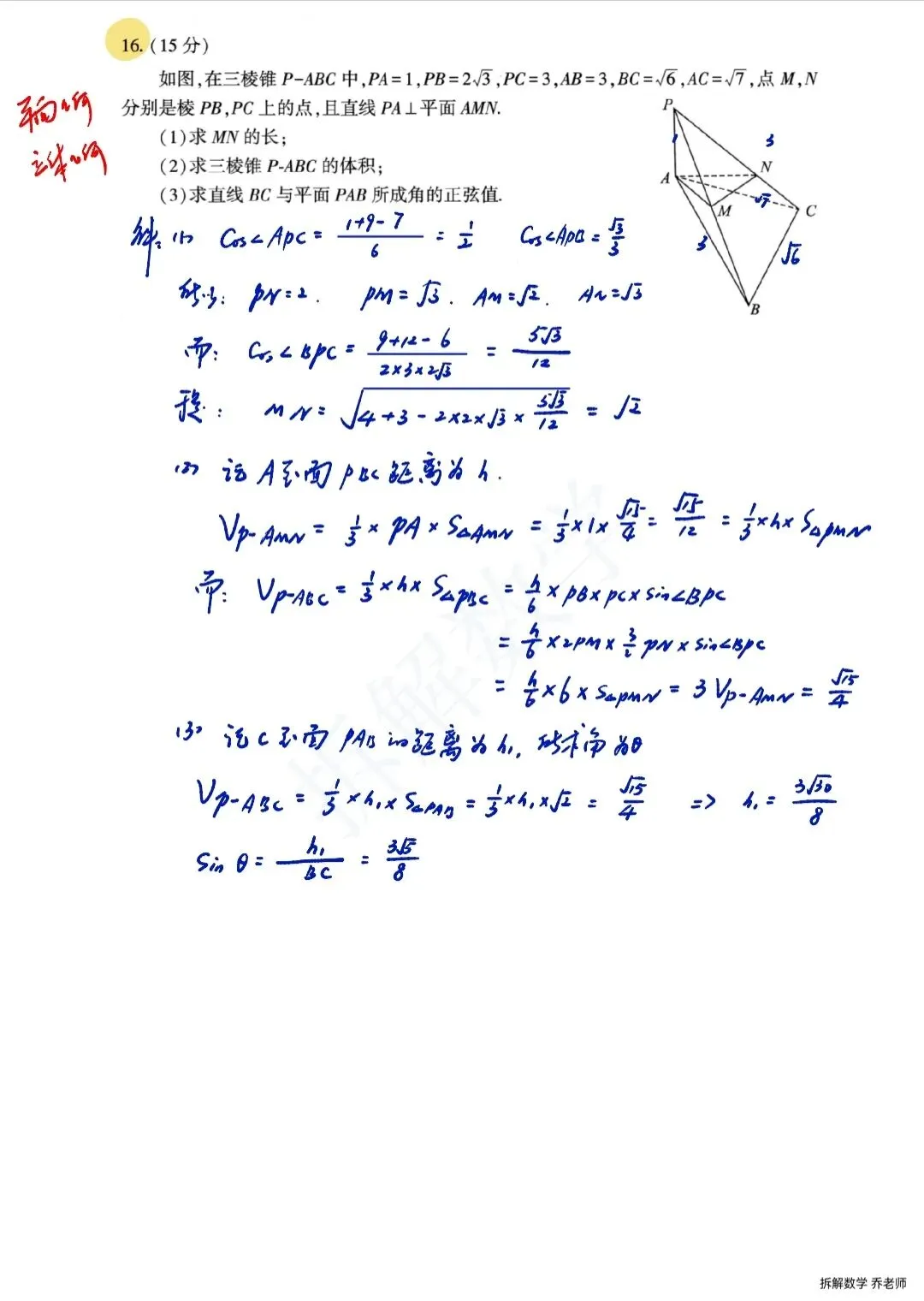
16题立体几何,非常具有武汉调考特色的题,看似立体几何,实则解三角,第二问出得太棒了,十分考验数学思维,普通学生很容易跳入计算陷阱。


18题,解析几何形式上面很新颖,计算量也是比较大的一题,但方法得当,此题也可以较少计算量,通过参数方程可发现P点轨迹实际是抛物线,但此题若是通过旋转坐标证明抛物线应是拿不了全分,那么我们可以通过定义先证明抛物线再进行旋转,计算定直线就没问题了。

19题,居然重启新定义,前两问还是比较好拿分,第3问没有竞赛背景属实难啃,还得再看看。
