上周考完的浙江名校联盟,一直没时间做,做完的感受是,新题型还得看浙江考卷,估计很多学生依然做不太习惯新题型太多的试卷(如7.11.14.19等题,都是非常新鲜且亮眼,很考验学生的心态)。
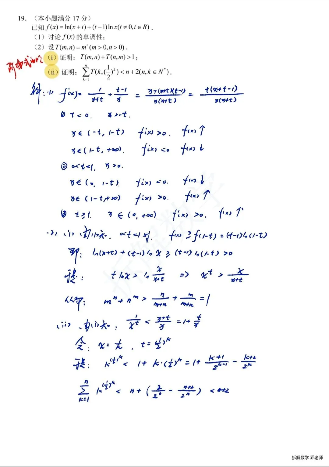
实际上此卷做完之后再复盘发现,整套试卷绝对难题也没有,小题中也就11题D选项比较难想到一些,17.18题稍有些计算量,19题典型的阶梯型证明问题,此类证明题老湖北卷2011.2012年均出现过,思维难度有点大,考场做出来确实困难。
小题整体难度较大于大题,第7题,小题里是漂亮的一题,难度不算太大,但新意很足,平面向量基本定理的考查,估计难倒不少学生。

第8题,重点要能翻译成数量积问题,剩下的就是计算了,计算量确实不小。

第11题太经典了,本质上是飘带函数与对勾函数综合性问题,形式上很新颖,D选项画图就能发现其与双曲线相类似的二级结论一样,证明中点重合即可。
14题看似很复杂,题意的理解过于关键,其实也就是一分布列的考查。

17题很棒的立体几何,难度不大,但第一问需要一些初中几何基础,第二问计算比较麻烦,放于此比较消磨时间。

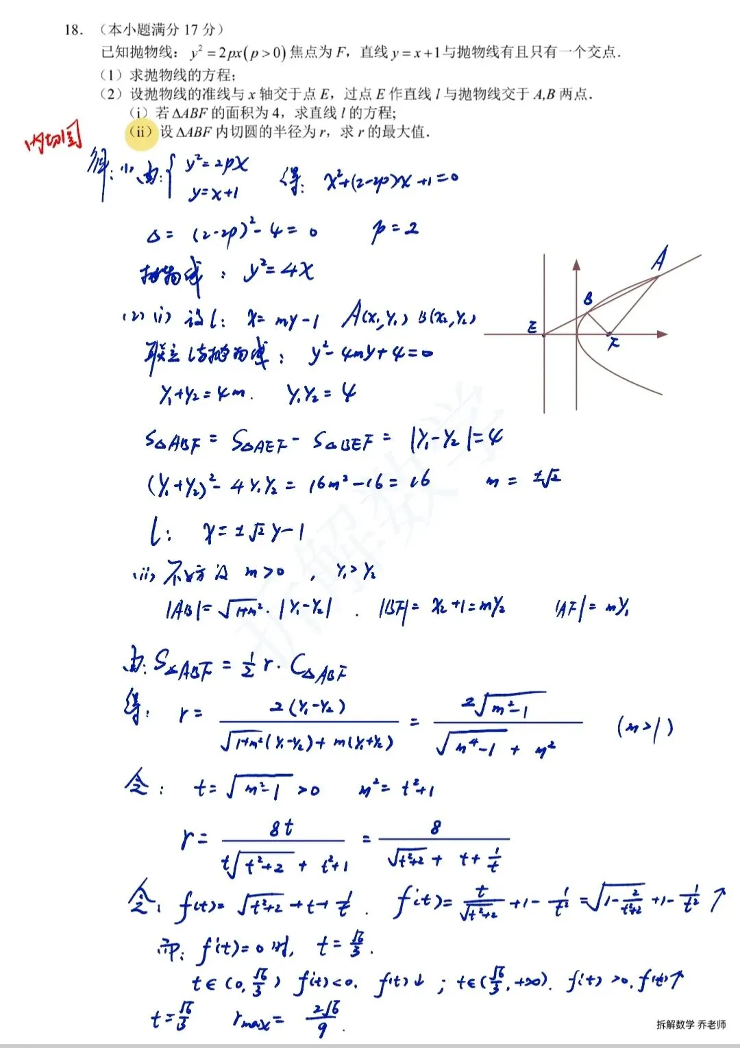
18题没有太多思维难度的解析几何,纯计算问题了。

19题这类阶梯式证明问题,看似很新鲜,但十几年前高考也已经出现多次,如湖北2011.2012连续两年都考过类似题型,且其中一题也已经被收录到教材课后练习题中。

附湖北高考题


(空卷会发q群,关注私信任意获取群号)