
文末点击阅读原文下载电子版
推荐资源:



















更多资料欢迎点击下方图片链接加入会员!
点击阅读原文👇👇获取电子版。
文章来源:
四季读书网
版权声明:本文内容由互联网用户自发贡献,该文观点仅代表作者本人。本站仅提供信息存储空间服务,不拥有所有权,不承担相关法律责任。如发现本站有涉嫌抄袭侵权/违法违规的内容, 请发送邮件至23467321@qq.com举报,一经查实,本站将立刻删除;如已特别标注为本站原创文章的,转载时请以链接形式注明文章出处,谢谢!

文末点击阅读原文下载电子版
推荐资源:



















更多资料欢迎点击下方图片链接加入会员!
点击阅读原文👇👇获取电子版。
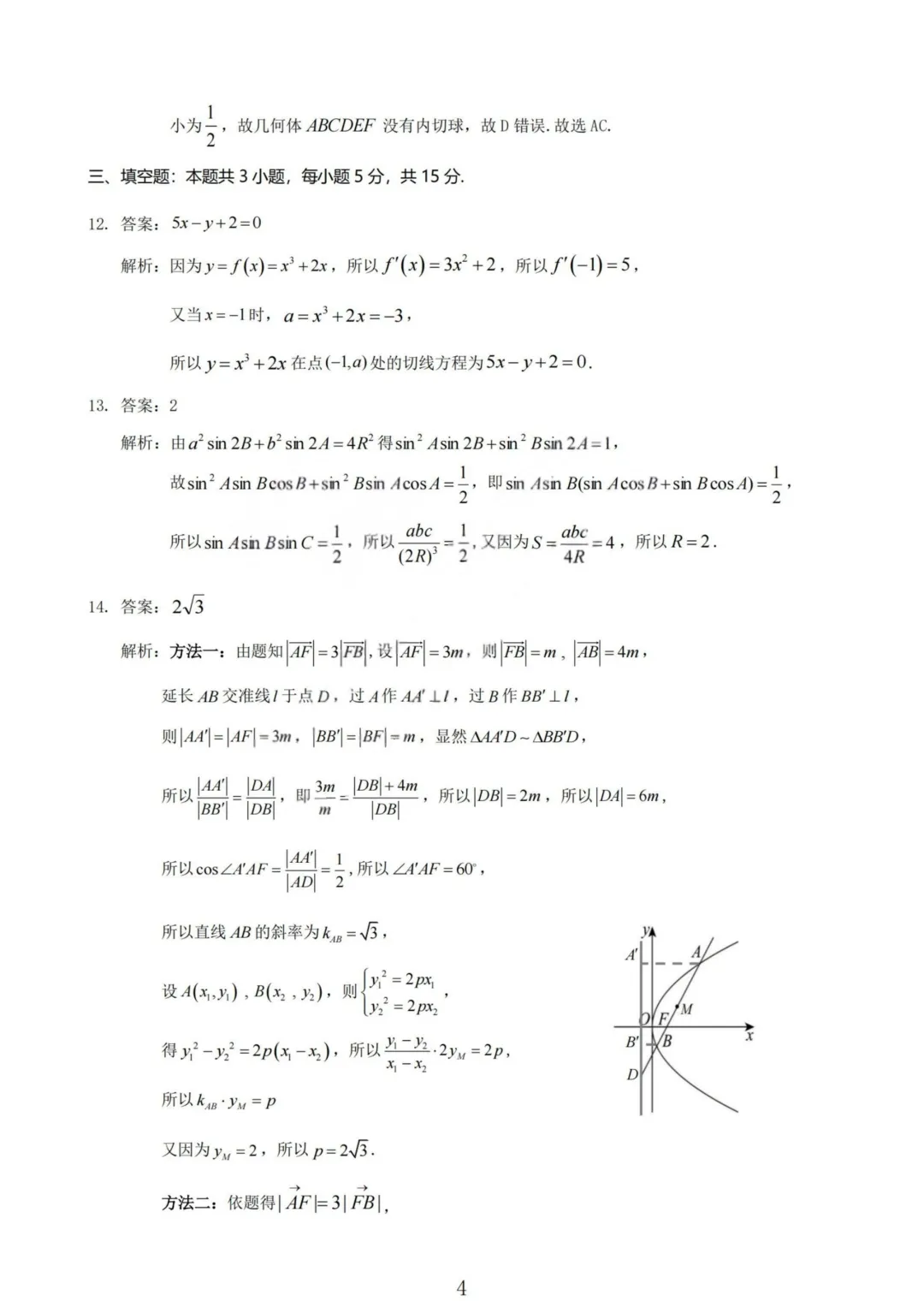
抱歉,评论功能暂时关闭!