中考倒计时104天-复习一 考点05 一元二次方程

四季读书网 15 0
中考倒计时104天-复习一 考点05 一元二次方程
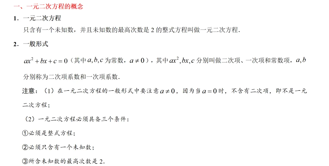
中考倒计时104天-复习一 考点05 一元二次方程 第1张
中考倒计时104天-复习一 考点05 一元二次方程 第2张
中考倒计时104天-复习一 考点05 一元二次方程 第3张
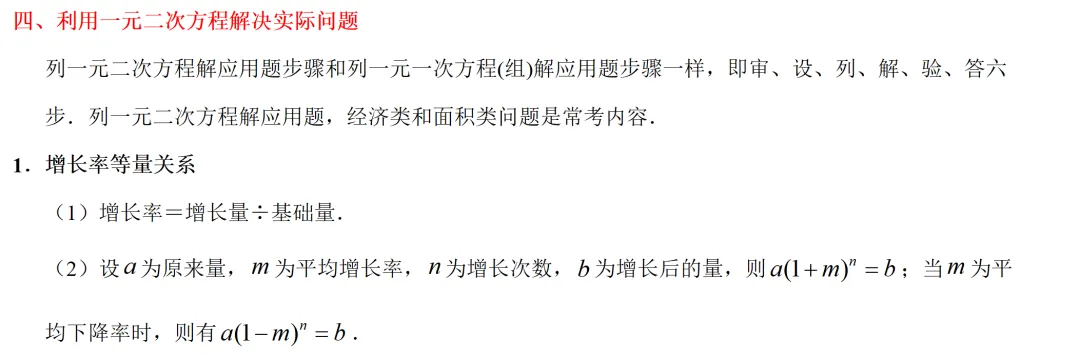
中考倒计时104天-复习一 考点05 一元二次方程 第4张
中考倒计时104天-复习一 考点05 一元二次方程 第5张
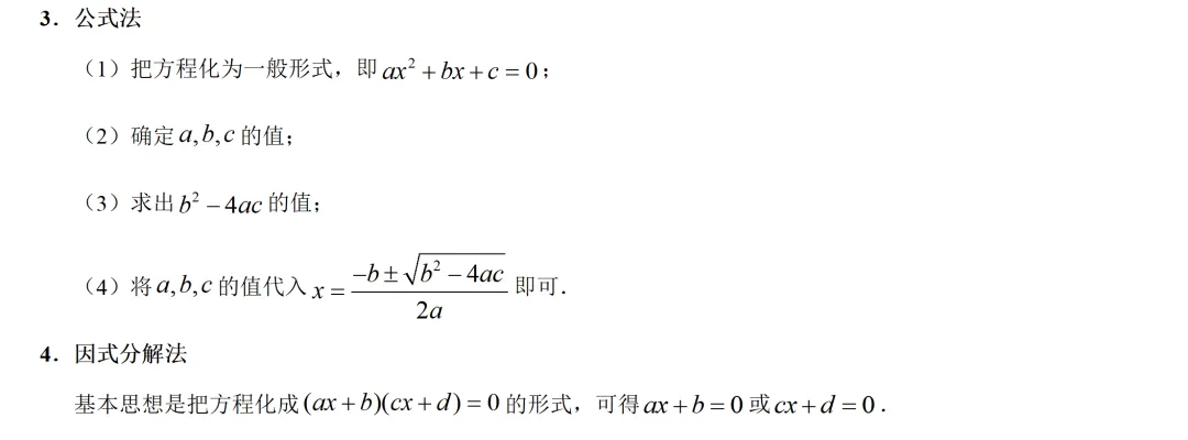
中考倒计时104天-复习一 考点05 一元二次方程 第6张
中考倒计时104天-复习一 考点05 一元二次方程 第7张

抱歉,评论功能暂时关闭!