中考数学重要考点【相似模型】汇总

四季读书网 19 0
中考数学重要考点【相似模型】汇总

相似:图形的形似是平面几何中极为重要的内容,是中考数学中的重点考察内容。一般分值约为6-12分,题型以选择,填空,解答综合题目为主,难易度属于难。

考察内容是:

①相似三角形的性质和判别方法,是重点。

②相似多边形的认识,黄金分割的应用。

③相似形与三角形,平行四边形的综合性题目是难点。

中考数学重要考点【相似模型】汇总 第1张

 本期重难点

1. 相似基本模型:
①A字、8字;      ②反A、反8;
③角分线;          ④旋转型;
⑤一线三等角;    ⑥线束模型;
⑦内接矩形;       ⑧相似比与面积比。
2. 基本辅助线:
①作平行线构造A字、8字;
②作垂线构造直角三角形相似;
3. 基本问题类型:
①证明相似;         ②求线段长;
③求线段比:AB/CD;
④证明线段乘积式:ab=cd;a2=bc
中考数学重要考点【相似模型】汇总 第2张

8种重要相似模型解读

中考数学重要考点【相似模型】汇总 第3张
中考数学重要考点【相似模型】汇总 第4张
中考数学重要考点【相似模型】汇总 第5张
中考数学重要考点【相似模型】汇总 第6张
中考数学重要考点【相似模型】汇总 第7张
中考数学重要考点【相似模型】汇总 第8张
中考数学重要考点【相似模型】汇总 第9张
中考数学重要考点【相似模型】汇总 第10张
中考数学重要考点【相似模型】汇总 第11张中考数学重要考点【相似模型】汇总 第12张
中考数学重要考点【相似模型】汇总 第13张
中考数学重要考点【相似模型】汇总 第14张
中考数学重要考点【相似模型】汇总 第15张
相关试题:
1.已知:如图,△ABC中,∠BAC=90°,ABAC=1,点DBC边上的一个动点(不与BC点重合),∠ADE=45°.
中考数学重要考点【相似模型】汇总 第16张
(1)求证:△ABD∽△DCE
(2)设BDxAEy,求y关于x的函数关系式;
(3)当△ADE是等腰三角形时,求AE的长.
答案:(1)提示:除∠B=∠C外,证∠ADB=∠DEC
中考数学重要考点【相似模型】汇总 第17张
中考数学重要考点【相似模型】汇总 第18张
2.已知:如图,△ABC中,AB=4,DAB边上的一个动点,DEBC,连结DC,设△ABC的面积为S,△DCE的面积为S′.
中考数学重要考点【相似模型】汇总 第19张
(1)当DAB边的中点时,求S′∶S的值;
(2)若设试求yx之间的函数关系式及x的取值范围.
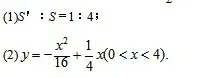
答案:中考数学重要考点【相似模型】汇总 第20张
3.如图所示,在平面直角坐标系xOy内已知点A和点B的坐标分别为(0,6)(80),动点P从点A开始在线段AO上以每秒1个单位长度的速度向点O移动,同时动点Q从点B开始在线段BA上以每秒2个单位长度的速度向点A移动,设点PQ移动的时间为t秒.
中考数学重要考点【相似模型】汇总 第21张
(1)求直线AB的解析式;
(2)当t为何值时,△APQ与△ABO相似?
(3)当t为何值时,△APQ的面积为个平方单位?
答案:中考数学重要考点【相似模型】汇总 第22张
4.如图27­13,在△ABC中,已知DEBC.
(1)△ADE与△ABC相似吗?为什么?
(2)它们是位似图形吗?如果是,请指出位似中心.
中考数学重要考点【相似模型】汇总 第23张
答案:解:(1)△ADE与△ABC相似.
∵平行于三角形一边的直线和其他两边相交,交点与公共点所构成的三角形与原三角形相似.
即由DEBC,可得△ADE∽△ABC.
(2)是位似图形.由(1)知:△ADE∽△ABC.
∵△ADE和△ABC的对应顶点的连线BDCE相交于点A
∴△ADE和△ABC是位似图形,位似中心是点A
中考数学重要考点【相似模型】汇总 第24张

抱歉,评论功能暂时关闭!