
近日,市教委发布《上海市教育委员会关于 2026 年上海市高中阶段学校招生工作的若干意见》。
2026年上海中招政策整体保持稳定,初中学业水平考试科目、分值、时长及招生录取批次均与2025年保持一致,家长和考生可安心按既定节奏备考即可。
《意见》中,提到了今年中考各科考试的时间如下:
外语听说测试、物理和化学实验操作考试时间为5月16—17日
其他笔试科目考试时间为6月20—21日
体育与健身科目统一测试的时间为4—5月,具体安排另行发布。
《上海市教育委员会关于2026年本市高中阶段学校招生工作的若干意见》全文:











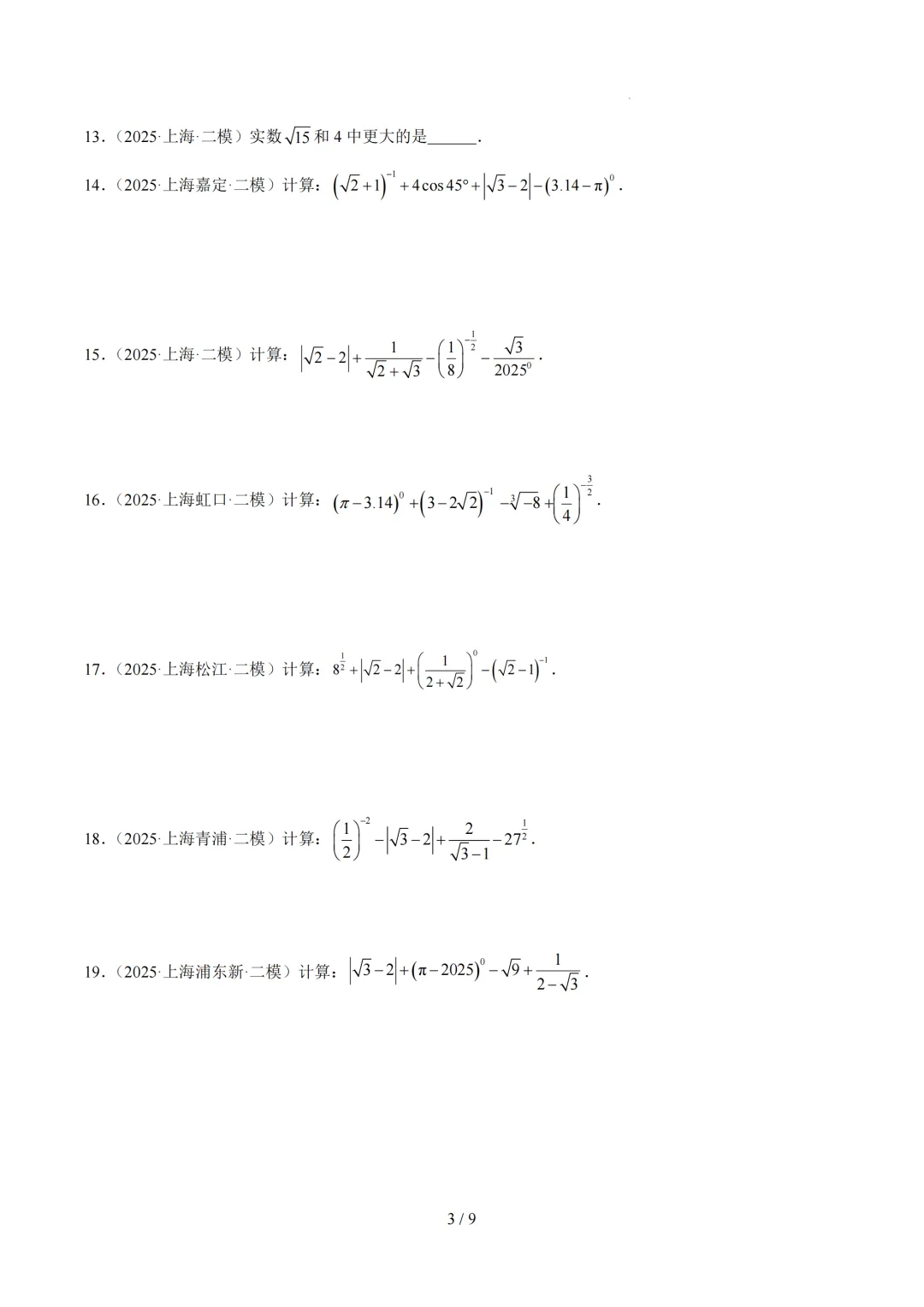
回到眼前最现实的:二模冲刺。二模是中考风向标,题型、难度、考点高度重合。为了帮孩子高效刷题、少走弯路,我们整理了这份2025年上海二模真题分类汇编。
2025年上海二模全科真题分类汇编
全题型分类+详细解析
⬇️扫码添加老师
回复【年级+P48】直接领取哦

致学学员/家长无需添加
直接找班主任报编号领取

✨按题型分类:不用一套套翻卷,专攻薄弱点
✨含详细解析:不只给答案,讲透思路与踩分点
✨全真二模原题:和中考命题思路一致,练一题抵十题
✨全科覆盖:从主科到小三门,一套搞定二模复习
不管是目标四校八大,还是冲市重、区重,二模成绩直接影响志愿与心态。刷对题,比多刷题重要10倍。

领取方式
⬇️扫码添加老师
回复【年级+P48】直接领取哦

致学学员/家长无需添加
直接找班主任报编号领取

资料预览











篇幅有限
完整版扫码添加微信
回复【年级+P48】免费领取
还有更多中高考资讯、学习资料、课程安排
欢迎随时沟通哦

致学学员/家长无需添加
直接找班主任报编号领取
最后想说:中考择校看三年、看六年,不看一年得失;中考备考看方法、看效率,不看盲目刷题。愿每一位孩子都能进心仪的高中,在最合适的赛道闪闪发光。