天津中考真题赏析<2025年第24题>

四季读书网 15 0
天津中考真题赏析<2025年第24题>

今天分享天津中考数学2025年第24题的详细解题思路与方法,供大家系统学习、查漏补缺,一起高效备战 2026 天津中考数学!

天津中考真题赏析<2025年第24题> 第1张-第1张图片-四季读书网" title="天津中考真题赏析<2025年第24题>-第1张图片-四季读书网" />
天津中考真题赏析<2025年第24题> 第2张-第2张图片-四季读书网" title="天津中考真题赏析<2025年第24题>-第2张图片-四季读书网" />
<2025年第24题>
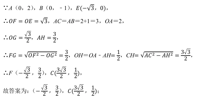
天津中考真题赏析<2025年第24题> 第3张-第3张图片-四季读书网" title="天津中考真题赏析<2025年第24题>-第3张图片-四季读书网" />
天津中考真题赏析<2025年第24题> 第4张-第4张图片-四季读书网" title="天津中考真题赏析<2025年第24题>-第4张图片-四季读书网" />
天津中考真题赏析<2025年第24题> 第5张-第5张图片-四季读书网" title="天津中考真题赏析<2025年第24题>-第5张图片-四季读书网" />
天津中考真题赏析<2025年第24题> 第6张-第6张图片-四季读书网" title="天津中考真题赏析<2025年第24题>-第6张图片-四季读书网" />
天津中考真题赏析<2025年第24题> 第7张-第7张图片-四季读书网" title="天津中考真题赏析<2025年第24题>-第7张图片-四季读书网" />
天津中考真题赏析<2025年第24题> 第8张-第8张图片-四季读书网" title="天津中考真题赏析<2025年第24题>-第8张图片-四季读书网" />
天津中考真题赏析<2025年第24题> 第9张-第9张图片-四季读书网" title="天津中考真题赏析<2025年第24题>-第9张图片-四季读书网" />
天津中考真题赏析<2025年第24题> 第10张-第10张图片-四季读书网" title="天津中考真题赏析<2025年第24题>-第10张图片-四季读书网" />
天津中考真题赏析<2025年第24题> 第11张-第11张图片-四季读书网" title="天津中考真题赏析<2025年第24题>-第11张图片-四季读书网" />
天津中考真题赏析<2025年第24题> 第12张-第12张图片-四季读书网" title="天津中考真题赏析<2025年第24题>-第12张图片-四季读书网" />
天津中考真题赏析<2025年第24题> 第13张-第13张图片-四季读书网" title="天津中考真题赏析<2025年第24题>-第13张图片-四季读书网" />
天津中考真题赏析<2025年第24题> 第14张-第14张图片-四季读书网" title="天津中考真题赏析<2025年第24题>-第14张图片-四季读书网" />
天津中考真题赏析<2025年第24题> 第15张-第15张图片-四季读书网" title="天津中考真题赏析<2025年第24题>-第15张图片-四季读书网" />

希望看到的同学可以静心做一做

有任何问题都可以留言咨询

抱歉,评论功能暂时关闭!