【中考数学】初中数学动点最值问题模型+例题详解【附:2025年江苏省南京市数学试卷】

四季读书网 19 0
【中考数学】初中数学动点最值问题模型+例题详解【附:2025年江苏省南京市数学试卷】
【中考数学】初中数学动点最值问题模型+例题详解【附:2025年江苏省南京市数学试卷】 第1张
1、将军饮马模型(对称点模型)
【中考数学】初中数学动点最值问题模型+例题详解【附:2025年江苏省南京市数学试卷】 第2张
【中考数学】初中数学动点最值问题模型+例题详解【附:2025年江苏省南京市数学试卷】 第3张
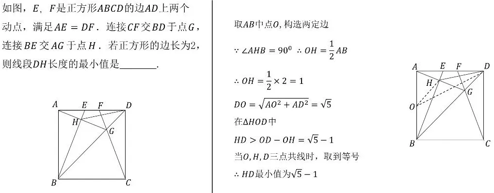
2、利用三角形两边差求最值
【中考数学】初中数学动点最值问题模型+例题详解【附:2025年江苏省南京市数学试卷】 第4张
【中考数学】初中数学动点最值问题模型+例题详解【附:2025年江苏省南京市数学试卷】 第5张
3、手拉手全等取最值
【中考数学】初中数学动点最值问题模型+例题详解【附:2025年江苏省南京市数学试卷】 第6张
【中考数学】初中数学动点最值问题模型+例题详解【附:2025年江苏省南京市数学试卷】 第7张
4、手拉手相似取最值
【中考数学】初中数学动点最值问题模型+例题详解【附:2025年江苏省南京市数学试卷】 第8张
【中考数学】初中数学动点最值问题模型+例题详解【附:2025年江苏省南京市数学试卷】 第9张
【中考数学】初中数学动点最值问题模型+例题详解【附:2025年江苏省南京市数学试卷】 第10张
5、平移构造平行四边形求最小
【中考数学】初中数学动点最值问题模型+例题详解【附:2025年江苏省南京市数学试卷】 第11张
【中考数学】初中数学动点最值问题模型+例题详解【附:2025年江苏省南京市数学试卷】 第12张
【中考数学】初中数学动点最值问题模型+例题详解【附:2025年江苏省南京市数学试卷】 第13张
6、两点对称勺子型连接两端求最小
【中考数学】初中数学动点最值问题模型+例题详解【附:2025年江苏省南京市数学试卷】 第14张
【中考数学】初中数学动点最值问题模型+例题详解【附:2025年江苏省南京市数学试卷】 第15张
7、两点对称折线连两端求最小
【中考数学】初中数学动点最值问题模型+例题详解【附:2025年江苏省南京市数学试卷】 第16张
【中考数学】初中数学动点最值问题模型+例题详解【附:2025年江苏省南京市数学试卷】 第17张
8、时钟模型,中点两定边求最小值
【中考数学】初中数学动点最值问题模型+例题详解【附:2025年江苏省南京市数学试卷】 第18张
【中考数学】初中数学动点最值问题模型+例题详解【附:2025年江苏省南京市数学试卷】 第19张
【中考数学】初中数学动点最值问题模型+例题详解【附:2025年江苏省南京市数学试卷】 第20张
9、时钟模型,相似两定边求最小值
【中考数学】初中数学动点最值问题模型+例题详解【附:2025年江苏省南京市数学试卷】 第21张
【中考数学】初中数学动点最值问题模型+例题详解【附:2025年江苏省南京市数学试卷】 第22张
10、转化构造两定边求最值
【中考数学】初中数学动点最值问题模型+例题详解【附:2025年江苏省南京市数学试卷】 第23张
11、面积转化法求最值
【中考数学】初中数学动点最值问题模型+例题详解【附:2025年江苏省南京市数学试卷】 第24张
【中考数学】初中数学动点最值问题模型+例题详解【附:2025年江苏省南京市数学试卷】 第25张
12、相似转化法求最值
【中考数学】初中数学动点最值问题模型+例题详解【附:2025年江苏省南京市数学试卷】 第26张
13、相似系数化一法求最值
【中考数学】初中数学动点最值问题模型+例题详解【附:2025年江苏省南京市数学试卷】 第27张
14、三角函数化一求最值
【中考数学】初中数学动点最值问题模型+例题详解【附:2025年江苏省南京市数学试卷】 第28张
15、轨迹最值
【中考数学】初中数学动点最值问题模型+例题详解【附:2025年江苏省南京市数学试卷】 第29张
16、三动点的垂直三角形
【中考数学】初中数学动点最值问题模型+例题详解【附:2025年江苏省南京市数学试卷】 第30张
17、旋转最值
【中考数学】初中数学动点最值问题模型+例题详解【附:2025年江苏省南京市数学试卷】 第31张
18、隐圆最值-定角动弦
【中考数学】初中数学动点最值问题模型+例题详解【附:2025年江苏省南京市数学试卷】 第32张
19、隐圆最值-动角定弦
【中考数学】初中数学动点最值问题模型+例题详解【附:2025年江苏省南京市数学试卷】 第33张
【中考数学】初中数学动点最值问题模型+例题详解【附:2025年江苏省南京市数学试卷】 第34张
【中考数学】初中数学动点最值问题模型+例题详解【附:2025年江苏省南京市数学试卷】 第35张
【中考数学】初中数学动点最值问题模型+例题详解【附:2025年江苏省南京市数学试卷】 第36张
【中考数学】初中数学动点最值问题模型+例题详解【附:2025年江苏省南京市数学试卷】 第37张
【中考数学】初中数学动点最值问题模型+例题详解【附:2025年江苏省南京市数学试卷】 第38张
【中考数学】初中数学动点最值问题模型+例题详解【附:2025年江苏省南京市数学试卷】 第39张
【中考数学】初中数学动点最值问题模型+例题详解【附:2025年江苏省南京市数学试卷】 第40张
【中考数学】初中数学动点最值问题模型+例题详解【附:2025年江苏省南京市数学试卷】 第41张
【中考数学】初中数学动点最值问题模型+例题详解【附:2025年江苏省南京市数学试卷】 第42张
【中考数学】初中数学动点最值问题模型+例题详解【附:2025年江苏省南京市数学试卷】 第43张
【中考数学】初中数学动点最值问题模型+例题详解【附:2025年江苏省南京市数学试卷】 第44张
【中考数学】初中数学动点最值问题模型+例题详解【附:2025年江苏省南京市数学试卷】 第45张
【中考数学】初中数学动点最值问题模型+例题详解【附:2025年江苏省南京市数学试卷】 第46张
【中考数学】初中数学动点最值问题模型+例题详解【附:2025年江苏省南京市数学试卷】 第47张
【中考数学】初中数学动点最值问题模型+例题详解【附:2025年江苏省南京市数学试卷】 第48张
【中考数学】初中数学动点最值问题模型+例题详解【附:2025年江苏省南京市数学试卷】 第49张
【中考数学】初中数学动点最值问题模型+例题详解【附:2025年江苏省南京市数学试卷】 第50张
【中考数学】初中数学动点最值问题模型+例题详解【附:2025年江苏省南京市数学试卷】 第51张
【中考数学】初中数学动点最值问题模型+例题详解【附:2025年江苏省南京市数学试卷】 第52张
【中考数学】初中数学动点最值问题模型+例题详解【附:2025年江苏省南京市数学试卷】 第53张
【中考数学】初中数学动点最值问题模型+例题详解【附:2025年江苏省南京市数学试卷】 第54张
【中考数学】初中数学动点最值问题模型+例题详解【附:2025年江苏省南京市数学试卷】 第55张
【中考数学】初中数学动点最值问题模型+例题详解【附:2025年江苏省南京市数学试卷】 第56张

抱歉,评论功能暂时关闭!