👇👇👇免费进学习群!

以微课堂学习群
奥数国家级教练与四名特级
教师联手执教。
除了关于三角形的各种面积问题之外,四边形问题也是中考题中常见的一种问法,鉴于四边形一般是普普通通的四边形,因此问题一般也是普普通通的问题,本文分享一点关于四边形面积的题目.
拆解四边形
如何求一个普通的四边形的面积?

解法也很普通,连对角线分割为两个三角形即可求得面积.至于三角形面积参考前文铅垂法.

搞定了四边形的面积,就可以看看四边形面积的最值了,还是来看点例子吧:
2019东营中考(删减)
已知抛物线y=ax²+bx-4经过点A(2,0)、B(-4,0),与y轴交于点C.
(1)求这条抛物线的解析式;
(2)如图,点P是第三象限内抛物线上的一个动点,当四边形ABPC的面积最大时,求点P的坐标;

【分析】
(1)y=0.5x²+x-4;
(2)此处四边形ABPC并非特殊四边形,所以可以考虑连接对角线将四边形拆为两个三角形求面积.
若连接AP,则△ABP和△APC均为动三角形,非最佳选择;
若连接BC,可得定△ABC和动△BPC,只要△BPC面积最大,四边形ABPC的面积便最大.

考虑A(2,0)、B(-4,0)、C(0,-4),

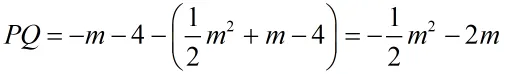
接下来求△BPC的面积,设P点坐标为(m,0.5m²+m-4),
连接BC,则直线BC的解析式为:y=-x-4
过点P作PQ⊥x轴交BC于点Q,则Q点坐标为(m,-m-4),

当m=-2时,PQ取到最大值2,此时△BPC面积最大,四边形ABPC面积最大.
此时P点坐标为(-2,-4).
是不是觉得上面这个题有点简单呐,那接下来会告诉你什么叫简单!
2019枣庄中考(删减)
已知抛物线y=ax²+1.5x+4的对称轴是直线x=3,与x轴相交于A,B两点(点B在点A右侧),与y轴交于点C.
(1)求抛物线的解析式和A,B两点的坐标;
(2)如图,若点P是抛物线上B、C两点之间的一个动点(不与B、C重合),是否存在点P,使四边形PBOC的面积最大?若存在,求点P的坐标及四边形PBOC面积的最大值;若不存在,请说明理由;

【分析】
(1)抛物线解析式为

点A坐标为(-2,0),点B坐标为(8,0).
(2)显然将四边形PBOC拆为△BOC和△PBC,点C坐标为(0,4),

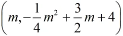
设P点坐标为

根据B、C坐标可得BC的解析式为y=-0.5x+4
过点P作PQ⊥x轴交BC于点Q,则Q点坐标为(m,-0.5m+4),


当m=4时,PQ取到最大值4,

故四边形PBOC的最大面积为32,此时P点坐标为(4,6).
这个题目四边形已拆好,只要负责计算就可以了,而计算的内容,与三角形无异.
看到这里我不禁问自己,难道还有比这个更简单的题目?
2019日照中考
如图1,在平面直角坐标系中,直线y=-5x+5与x轴,y轴分别交于A,C两点,抛物线y=x²+bx+c经过A,C两点,与x轴的另一交点为B.
(1)求抛物线解析式及B点坐标;
(2)若点M为x轴下方抛物线上一动点,连接MA、MB、BC,当点M运动到某一位置时,四边形AMBC面积最大,求此时点M的坐标及四边形AMBC的面积;
(3)如图2,若P点是半径为2的圆B上一动点,连接PA、PC,当点P运动到某一位置时,PC+1/2PA的值最小,请求出这个最小值,并说明理由.


【分析】
(1)由题意得:A(1,0)、C(0,5),代入可解抛物线解析式为:y=x²-6x+5,点B坐标为(5,0).
(2)显然四边形AMBC可拆为△ABC和△AMB,

显然,当M点在抛物线顶点时,△AMB面积最大,

此时M点坐标为(3,-4),

故四边形AMBC面积最大值为10+8=18,此时M点坐标为(3,-4).
(3)之所以留下这个小问是因为前两个小问也太不够看了,而这个也差不多.
显然是个“阿氏圆”问题,构造1/2PA即可,参考阿氏圆解决方法,
取点D(4,0),连接PD,任意时刻,均有PD=1/2PA,问题易解.

四边形并不想划水,奈何中考不允许啊!讲真看到这样的中考题我也很绝望,所以再看个不太一样的四边形吧.
2019相城区一模
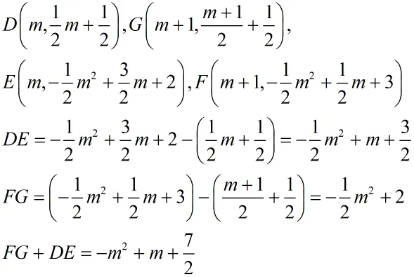
如图,抛物线y=ax²-3ax-4a(a<0)与x轴交于A,B两点,直线y=1/2x+1/2经过点A,与抛物线的另一个交点为点C,点C的横坐标为3,线段PQ在线段AB上移动,PQ=1,分别过点P、Q作x轴的垂线,交抛物线于E、F,交直线于D,G.
(1)求抛物线的解析式;
(2)在线段PQ的移动过程中,以D、E、F、G为顶点的四边形面积是否有最大值,若有求出最大值,若没有请说明理由.

【分析】
(1)由题意得C点坐标为(3,2),代入抛物线解析式得:a=-1/2,
抛物线解析式为:

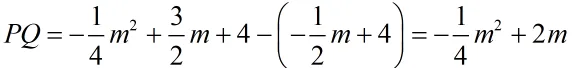
(2)注意题目的描述:线段PQ在线段AB上移动,故四边形可能在C点左侧,可能在C点右侧,可能横跨C点.

显然四边形面积的最大值存在于第一种情况.
当四边形在点C左侧时,

当m=1/2时,FG+DE取到最大值为15/4,
此时四边形面积为15/8.故最大面积为15/8.
写在最后:
👇👇👇免费进学习群!

以微课堂学习群
奥数国家级教练与四名特级
教师联手执教。


