2025年江苏省南通市中考数学试卷压轴题节选

四季读书网 12 0
2025年江苏省南通市中考数学试卷压轴题节选
2025年江苏省南通市中考数学试卷压轴题节选 第1张
2025年江苏省南通市中考数学试卷压轴题节选 第2张
2025年江苏省南通市中考数学试卷压轴题节选 第3张
2025年江苏省南通市中考数学试卷压轴题节选 第4张
2025年江苏省南通市中考数学试卷压轴题节选 第5张
2025年江苏省南通市中考数学试卷压轴题节选 第6张
2025年江苏省南通市中考数学试卷压轴题节选 第7张
2025年江苏省南通市中考数学试卷压轴题节选 第8张
2025年江苏省南通市中考数学试卷压轴题节选 第9张
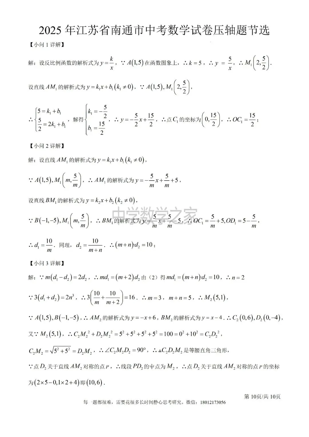
2025年江苏省南通市中考数学试卷压轴题节选 第10张
推荐阅读:

2013-2025年江苏省各科中考真题及答案完整版

注:
1、资料来源网络收集整理排版,如有错误,欢迎加下方微信交流,如需word电子档,有偿分享。
2、需要电子档分享,请加微信截图,说清需要的文档。不接受公众号没有的文档定制。文末有免费获取的方式为免费,微信单独分享均有偿。
2025年江苏省南通市中考数学试卷压轴题节选 第11张

抱歉,评论功能暂时关闭!