大家好!欢迎来到第七天的每日一练。前六天我们完成了有理数、实数、平方根和立方根的学习,今天开始进入一个新的板块——二次根式。这是中考计算题中的“常客”,掌握好化简和运算法则,就能轻松应对!📐
🌟 每日寄语
根式相乘开一起,根式相除分开移。加减必须同类项,化简才能在一起。
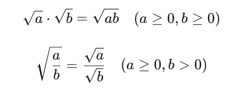
📌 每日一条定理或公式
二次根式的乘除法法则:

📚 课标要求(今日重点)
23.能对二次根式(根号下仅限于数)进行加、减、乘、除运算,掌握简单的运算法则。
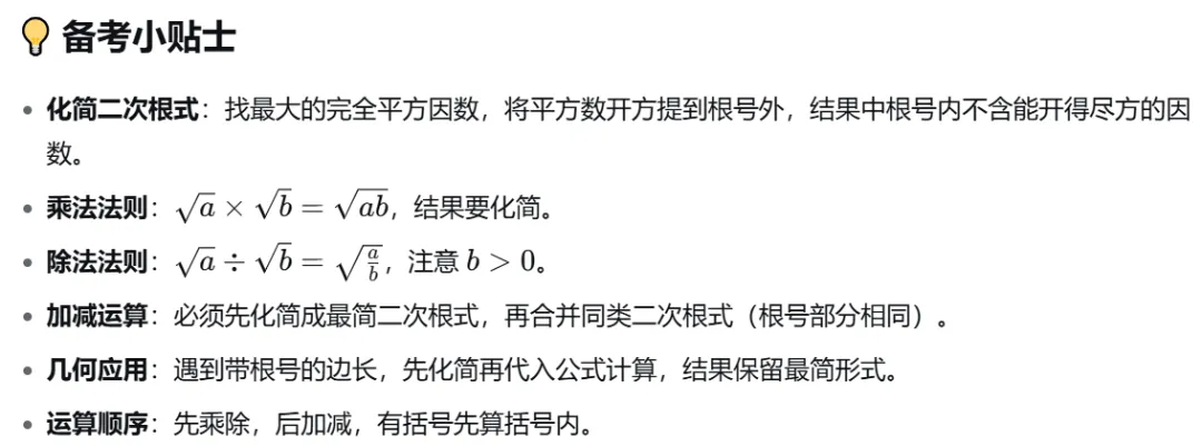
📝 练习题
请认真完成以下题目,注意化简要彻底!



今天的练习你全对了吗?第1题的化简是否彻底?第4题的加减运算是否注意到不能合并?如果有错题,记得整理到错题本上,并分析错误原因。明天我们将继续二次根式的练习,敬请期待!
欢迎在评论区留言打卡,晒出你的答案或疑问,我们一起交流进步! 📢
关注我们,每天获取中考数学备考干货!
文章来源:
四季读书网
版权声明:本文内容由互联网用户自发贡献,该文观点仅代表作者本人。本站仅提供信息存储空间服务,不拥有所有权,不承担相关法律责任。如发现本站有涉嫌抄袭侵权/违法违规的内容, 请发送邮件至23467321@qq.com举报,一经查实,本站将立刻删除;如已特别标注为本站原创文章的,转载时请以链接形式注明文章出处,谢谢!