👇👇👇免费进学习群!

以微课堂学习群
奥数国家级教练与四名特级
教师联手执教。
图形的运动---翻折类


另解:


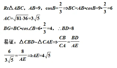
分析:

当然对于边AE、CE的求解还可如下





分析


分析:



分析:


分析:



分析:






图形的运动---旋转类

分析



分析:


以上两题充分利用旋转本身产生的等腰三角形相似。

分析:


另解


分析:



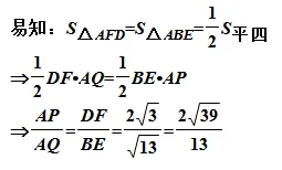
有关面积

分析:



分析:





分析:


旋转与翻折(翻折与相似三角形)
一、双平等腰模型、勾股大法

二、分类讨论、8字型相似(更正第一种情况中AD=AC=8)

三、一线三直角重现江湖
如图,梯形ABCD 中,AD∥BC,∠B=90°,AD=2,BC=5, E是AB上一点,将△BCE沿着直线CE翻折,点B恰好与D点重合,则BE= .

此题的解题关键是要看出图形中隐藏着一个基本图形“一线三直角”


四、三线合一
如图,已知在Rt△ABC中,D是斜边AB的中点,AC=4,BC=2,将△ACD沿直线CD折叠,点A落在点E处,联结AE,那么线段AE的长度等于.

五、一线三直角威力再现
在矩形ABCD中,AB=6,AD=8,把矩形ABCD沿直线MN翻折,点B落在边AD上的E点处,若AE=2AM,那么EN的长等于 .

六、弧形折叠现原形、构造相似三角形
如图,已知扇形AOB的半径为6,圆心角为90度,E是半径OA上一点,F是弧AB上一点。将扇形AOB沿EF对折,使得折叠后的圆弧A`F恰好与半径OB相切于点G,若OE=5,则0到折痕EF的距离为 .

👇👇👇免费进学习群!

以微课堂学习群
奥数国家级教练与四名特级
教师联手执教。


