难度爆表的中考模拟卷

四季读书网 17 0
难度爆表的中考模拟卷

难度爆表的中考模拟卷,难度较大且钓鱼,看看就行#超难数学题 #钓鱼卷

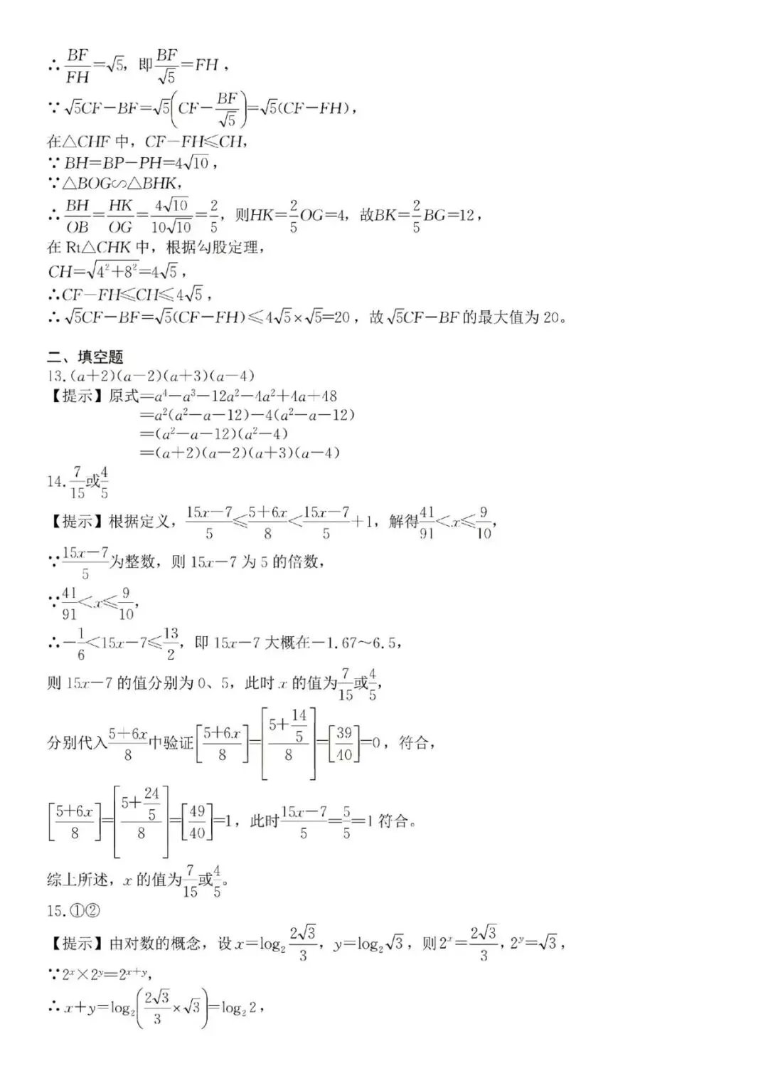
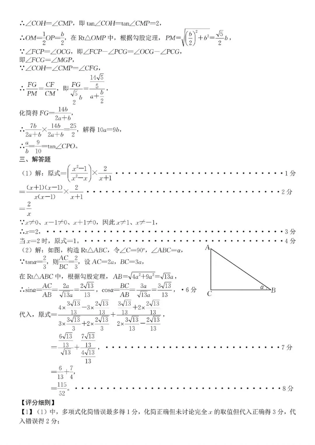
难度爆表的中考模拟卷 第1张难度爆表的中考模拟卷 第2张难度爆表的中考模拟卷 第3张难度爆表的中考模拟卷 第4张难度爆表的中考模拟卷 第5张难度爆表的中考模拟卷 第6张难度爆表的中考模拟卷 第7张难度爆表的中考模拟卷 第8张难度爆表的中考模拟卷 第9张难度爆表的中考模拟卷 第10张难度爆表的中考模拟卷 第11张难度爆表的中考模拟卷 第12张难度爆表的中考模拟卷 第13张难度爆表的中考模拟卷 第14张难度爆表的中考模拟卷 第15张难度爆表的中考模拟卷 第16张难度爆表的中考模拟卷 第17张

抱歉,评论功能暂时关闭!