👇👇👇免费进学习群!

以微课堂学习群
奥数国家级教练与四名特级
教师联手执教。
本讲主要以含参一次函数及综合题为主来讲解、练习:
例1
如图,在平面直角坐标系中,A(1,4), B(3,2),C(m,-4m+20),若OC恰好平分四边形OACB的面积,求点C的坐标.

分析:
首先,给出点C的坐标(m,-4m+20),你能想到什么?
由于纵坐标具有一次函数解析式的特征,则不难想到点C在直线y=-4x+20上.
而四边形OACB四个字母的顺序已定,因此本题只有一解.
接下来,我们继续考虑,什么线有平分面积的作用?
三角形的中线.
连接AB,OC必然同时平分△OAB和△CAB的面积,则OC必经过AB的中点,设中点为D,求出直线OD的解析式,其与直线y=-4x+20的交点即为点C.
解答:


例2
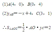
如图1,直线l交x轴、y轴分别于A、B两点,A(a,0),B(0,b),且(a-b)²+|b-4|=0.

(1) 求A、B两点坐标;
(2) 如图2,C为线段AB上一点,且C点的横坐标是3.求△AOC的面积;
(3) 如图2,在(2)的条件下,以OC为直角边作等腰直角△POC,请求出P点坐标;
(4) 如图3,在(2)的条件下,过B点作BD⊥OC,交OC、OA分别于F、D两点,E为OA上一点,且∠CEA=∠BDO,试判断线段OD与AE的数量关系,并说明理由.
分析:
(1) 典型的0+0型.
(2) 由点A,点B的坐标,求出直线AB的解析式,根据点C的横坐标,求出点C的坐标,最后利用三角形的面积公式即可得解.
(3)见等腰直角三角形,你想到了什么模型?
一线三直角!因此过点P,点C作x轴的垂线段,构造全等,从而求出点P坐标.
(4)哪怕不会做,你先写什么?
OD=AE.
接下来怎么证呢?
显然,考虑证明三角形全等,但是并没有现成的三角形可证,必然要添辅助线.
给出的两个条件,BD⊥OC,∠CEA=∠BDO怎么用?
别忘了,其实由第(1)问可知,BO=OA,而最终证明OD=AE,则△BOD是关键三角形.
要证其他三角形与它全等,则需要构造,根据BO=OA,则需要过点A构造直角.
解答:

(3)过点C作CD⊥x轴于D,过P作PE⊥x轴于E,

易证△POE≌△OCD
PE=OD=3,EO=DC=1
P(-1,3)
(4) 过A作AG⊥x轴于A,交OC延长线于G

易证△BOD≌△OAG(ASA)
∴∠BDO=∠G,OD=AG.
∵∠CEA=∠BDO,
∴∠CEA=∠G.
∵∠BAO=45°,∠GAO=90°,
∴∠CAG=45°.

例3
如图,直线MN与x轴,y轴正半轴分别交于A,C两点,分别过A,C两点作x轴,y轴的垂线相交于B点,直线y=x与直线MN交于点P,已知AC=10,OA=8.

(1)求P点坐标;
(2)作∠AOP的平分线OQ交直线MN与点Q,点E、F分别为射线OQ、OA上的动点,连结AE与EF,试探索AE + EF是否存在最小值?若存在,请直接写出这个最小值;若不存在请说明理由;
(3)在直线MN上存在点G,使以点G,B,C三点为顶点的三角形是等腰三角形,请求出点G的坐标.
分析:
(1) 求出OC的长,确定出C坐标,利用待定系数法求出直线MN解析式,与y=x联立方程组,即可求出交点P坐标.
(2) 作出相应的图形,典型的将军饮马问题,作对称,利用垂线段最短.
(3) 典型的两圆一线问题,分三种情况考虑.
解答:






精选练习(答案详见下期)

含参一次函数
1.已知平面上点O(0,0),A(3,2),B(4,0),直线y=mx-3m+2将△OAB分成面积相等的两部分,求m的值.

2.如图,已知在平面直角坐标系中,平行四边形ABCD顶点A(0,0),C(10,4),直线y=ax-2a-1将其分成面积相等的两部分,求a的值.

3.如图,在平面直角坐标系xOy中,多边形OABCDE的顶点坐标分别是O(0,0),A(0,6),B(4,6),C(4,4),D(6,4),E(6,0).若直线l经过点M(2,3),且将多边形OABCDE分割成面积相等的两部分,求直线l的函数表达式.

4.已知点M(m,-2m),N(m+3,-2m-4),当四边形MNBA周长最小时,
则m=____________.

综合题




👇👇👇免费进学习群!

以微课堂学习群
奥数国家级教练与四名特级
教师联手执教。


