电路故障题是中考必考题型,一般以选择题的形式或在实验题中以填空题的形式进行考查!在课堂上很少有老师总结故障题的解题方法,一般都是就题论题,因此学生遇到故障题很少形成规律方法,总是感到有点怯场,因此我对电路故障题的解答方法进行总结,希望能帮到你!
1.做电学(故障)题时,首先依据“目中无表”(即将电压表等效为开路、电流表等效为导线)的规则判断出电路的连接形式(即判断出电路是串联还是并联 )
2.再将各电表接入电路中,弄清各电表所测量的量。
例:如图所示电路是串联电路还是并联电路?你能看出图中的电压表是测量哪个电路元件两端的电压吗?

(答案:上图所示电路为串联电路;图中的电压表测量的定值电阻R1两端的电压)——判断电压表测量哪个电路元件两端电压的方法是看电压表并联在哪个电路元件两端!
3.若“将电压表串联在电路中”则电路不导通(所有用电器都不工作,电路中也无电流),但电压表有示数,其示数等于电源电压。
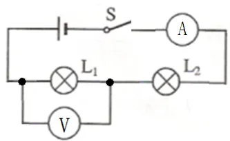
4.若“电流表示数几乎为零”可确定电路中一定出现断路(还有可能是电流表损坏,尽管说得有点绝对,但可认为上述说法正确)。此时再看同一电路中的电压表示数是否为零,若不为零,则与之并联的用电器断路(即下图中的断路L1断路);若为零,则除该用电器以外的元件断路(有可能是下图中的开关S断路;也可能是电流表断路;还有可能是灯泡L2断路)

小技巧:该判断方法还可这样操作:当得知电路中的电流表无示数,随即把电压表用红色笔描到电源两端(如下图所示)。若电压表有示数,则电路中描红线部分的电路完好,则没描红线部分断路;若电压表无示数,则描红线部分的电路出现断路,没描红线部分完好)。

5.串联电路中测量部分用电器两端电压的电压表示数突然增大为电源电压,则:①可能是与它并联的用电器断路,即L1断路(上述第"3"条描述的故障情况);
②也可能是与它串联的用电器短路,即L2短路。

6.并联电路中有灯泡亮(或有用电器工作),则一定不存在短路;串联电路中有灯泡亮(或有用电器工作),则一定不存在断路。
例:如图所示,电源电压不变,闭合开关S,灯泡L1、L2都发光。一段时间后,由于某个灯泡发生故障,使两灯都熄灭,且电流表示数为零,电压表示数变大,则下列说法正确的是( )

A. 灯泡L1和L2发光时,两灯并联
B. 灯泡熄灭是由于灯L2断路造成的
C. 灯泡熄灭是由于灯L1断路造成的
D. 灯泡熄灭是由于灯L2短路造成的

文章来源:
四季读书网
版权声明:本文内容由互联网用户自发贡献,该文观点仅代表作者本人。本站仅提供信息存储空间服务,不拥有所有权,不承担相关法律责任。如发现本站有涉嫌抄袭侵权/违法违规的内容, 请发送邮件至23467321@qq.com举报,一经查实,本站将立刻删除;如已特别标注为本站原创文章的,转载时请以链接形式注明文章出处,谢谢!