

喜
迎
新
年
数学为什么重要,一方面数学是理工科的基础,许多课程都离不开数学的基础知识,到高中后,数学好的学生,物理,化学都不会差,反之,很少有数学差的学生,物理,化学能取得好成绩。今天老师为同学们分享的是初中数学:二次函数专项练习,含解析,希望对同学们有帮助!

2
0
2
6

初中数学:二次函数专项练习

01
一家化工厂原来每月利润为120万元,从今年1月起安装使用回收净化设备(安装时间不计),一方面改善了环境,另一方面大大降低原料成本。据测算,使用回收净化设备后的1至x月(1≤x≤12)的利润的月平均值w(万元)满足w=10x+90,第二年的月利润稳定在第1年的第12个月的水平。
(1)设使用回收净化设备后的1至x月(1≤x≤12)的利润和为y,写出y关于x的函数关系式,并求前几个月的利润和等于700万元?
(2)当x为何值时,使用回收净化设备后的1至x月的利润和与不安装回收净化设备时x个月的利润和相等?
(3)求使用回收净化设备后两年的利润总和。

02
某商店经销一种销售成本为每千克40元的水产品。据市场分析,若按每千克50元销售,一个月能售出500千克;销售单价每涨1元,月销售量就减少10千克,针对这种水产品的销售情况,请解答下列问题:
(1)当销售单价定为每千克55元时,计算月销售量和月销售利润;(2)设销售单价为每千克x元,月销售利润为y元,求y与x的函数表达式(不必写出x的取值范围); (3)商店想在月销售成本不超过10000元的情况下,使得月销售利润达到8000元,销售单价应定为多 少?

03
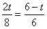
Rt△ABC中,∠A=90°,AB=8cm,AC=6cm,P、 Q分别为AC,AB上的两动点,P从点C开始以1cm/s的速度向点A运动,Q从点A开始以2cm/s的速度向点B运动,当一点到达终点时,P、Q两点就同时停止运动。设运动时间为ts。
1.用t的代数式分别表示AQ和AP的长;
2.设△APQ的面积为S,
(1)求△APQ的面积S与t的关系式;
(2)当t=2s时,△APQ的面积S是多少?
3.当t为多少秒时,以点A. P. Q为顶点的三角形与△ABC相似?


04
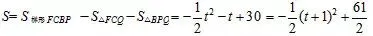
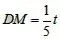
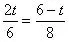
如图,在矩形ABCD中,AB=8cm,AD=6cm,点F是CD延长线上一点,且DF=2cm。点P、Q分别从A、C同时出发,以1cm/s的速度分别沿边AB、CB向终点B运动,当一点运动到终点B时,另一点也停止运动。FP、FQ分别交AD于E、M两点,连结PQ、AC,设运动时间为t (s)。

(1)用含有t的代数式表示DM的长; (2)设△FCQ的面积为y (cm2),求y与t之间的函数关系式; (3)线段FQ能否经过线段AC的中点,若能,请求出此时t的值,若不能,请说明理由; (4)设△FPQ的面积为S (cm2),求S与t之间的函数关系式,并回答,在t的取值范围内,S是如何随t的变化而变化的。

05
某商店销售一种食用油,已知进价为每桶40元,市场调查发现,若以每桶50元的价格销售,平均每天可以销售90桶油,若价格每升高1元,平均每天少销售3桶油,设每桶食用油的售价为x元(x≥50),商店每天销售这种食用油所获得的利润为y元。
(1)用含有x的代数式分别表示出每桶油的利润与每天卖出食用油的桶数;(2)求y与x之间的函数关系式;(3)当每桶食用油的价格为55元时,可获得多少利润? (4)当每桶食用油的价格定为多少时,该商店一天销售这种食用油获得的利润最大? 最大利润为多少?

06
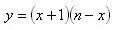
如图,平面直角坐标系中,四边形OABC为矩形,点A.B的坐标分别为(6,0),(6,8)。动点M、N分别从O、B同时出发,以每秒1个单位的速度运动。其中,点M沿OA向终点A运动,点N沿BC向终点C运动。过点N作NP⊥BC,交AC于P,连结MP。已知动点运动了x秒。
(1)P点的坐标为(____ ,_____ );(用含x的代数式表示) (2)试求
MPA面积的最大值,并求此时x的值。(3)请你探索:当x为何值时,
MPA是一个等腰三角形?你发现了几种情况?写出你的研究成果。


07
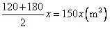
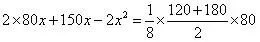
如图,要设计一个等腰梯形的花坛,花坛上底长120米,下底长180米,上下底相距80米,在两腰中点连线(虚线)处有一条横向甬道,上下底之间有两条纵向甬道,各甬道的宽度相等.设甬道的宽为x米.
(1)用含x的式子表示横向甬道的面积;(2)当三条甬道的面积是梯形面积的八分之一时,求甬道的宽;(3)根据设计的要求,甬道的宽不能超过6米,如果修建甬道的总费用(万元)与甬道的宽度成正比例关系,比例系数是5.7,花坛其余部分的绿化费用为每平方米0.02万元,那么当甬道的宽度为多少米时,所建花坛的总费用最少?最少费用是多少万元?


08
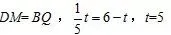
如图,四边形ABCD为矩形,AB=4,AD=3,动点M从D点出发,以1个单位/秒的速度沿DA向终点A运动,同时动点N从A点出发,以2个单位/秒的速度沿AB向终点B运动.当其中一点到达终点时,运动结束.过点N作NP⊥AB,交AC于点P1连结MP.已知动点运动了x秒.
(1)请直接写出PN的长;(用含x的代数式表示)(2)试求△MPA的面积S与时间x秒的函数关系式,写出自变量x的取值范围,并求出S的最大值; (3)在这个运动过程中,△MPA能否为一个等腰三角形.若能,求出所有x的对应值;若不能,请说明理由.


09
研究表明一种培育后能繁殖的细胞在一定的环境下有以下规律:若有n 个细胞,经过第一周期后,在第1 个周期内要死去1个,会新繁殖(n-1)个;经过第二周期后,在第2 个周期内要死去2个,又会新繁殖(n-2)个;以此类推.例如, 细胞经过第x个周期后时,在第x个周期内要死去x个,又会新繁殖 (n-x)个。

(1)根据题意,分别填写上表第4、5两个周期后的细胞总数;(2)根据上表,写出在第x周期后时,该细胞的总个数y(用x、n表示);(3)当n=21时细胞在第几周期后时细胞的总个数最多?最多是多少个?

10
某商场购进一种单价为40元的篮球,如果以单价50元出售,那么每月可售出500个,根据销售经验,售价每提高1元,销售量相应减少10个。
(1)假设销售单价提高x元,那么销售300个篮球所获得的利润是____________元;这种篮球每月的销售量是___________________个。(用含x的代数式表示)(2)8000元是否为每月销售这种篮球的最大利润?如果是,请说明理由;如果不是,请求出最大利润,此时篮球的售价应定为多少元?

参考答案
1
解:
(1)y=xw=x(10x+90)=10x2+90x,令10x2+90x=700,解得x=5,答:前5个月的利润和等于700万元。 (2)令10x2+90x=120x,解得x=3,答:当x为3时,使用回收净化设备后的1至x月的利润和与不安装回收净化设备时x个月的利润和相等。 (3)使用回收净化设备后两年的利润总和为:12(10×12+90)+12(10×12+90)=5040(万元)。
2
解:
(1)当销售单价定为每千克55元时,月销售量为500-(55-50)×10=450(千克),所以月销售利润为(55-40)×450 =6750(元);(2)y=-10x2+1400x-40000;(3)要使月销售利润达到8000元,即y=8000所以-10x2+1400x-40000=8000则x1=60,x2=80当销售单价定为每千克60元时,月销售量为500-(60-50)×10=400(千克),月销售成本为40×400=16000(元)当销售单价定为每千克80元时,月销售量为500(80-20)×10=200(千克),月销售成本为40×200=8000(元)由于8000<10000<16000而且销售成本不能超过10000元,所以销售单价应定为每千克80元。
3
解:
1.用t的代数式分别表示AQ=2t,AP=6-t2.设△APQ的面积为S, (1)△APQ的面积S与t的关系式为:S=
即S=6t-t2 (2)当t=2s时,△APQ的面积S=6×2-22=8(cm2) 3.当t为多少秒时,以点A、P、Q为顶点的三角形与△ABC相似 (1)当
时
∴t=2.4(s) (2)当
时,
∴
综上所述,当t为2.4秒或
时,以点A、P、Q为顶点的三角形与△ABC相似。
4
解:
(1)
(2) S△FCQ=5t (3)
(4)

S随t的增大而减小。即:从t=0,S=30变化到 t=6,S=6
5
解:
(1)
,
或
;
(2)设月销售利润为y元, 由题意
整理得
(3)当每桶食用油的价格为55元时,

答:当每桶食用油的价格为55元时,可获得利润1125元
(4)
则:当x=60时,y的最大值为1200答:当每桶食用油的价格定为60元时,该商店每天销售这种食用油获得的利润最大。 最大利润为1200元。
6
解:
(1)(6-x ,
x );(2)设
MPA的面积为S,在
MPA中,MA=6-x,MA边上的高为
x, 其中,0≤x≤6 ∴S=
(6-x)×
x=
(-x2+6x) = -
(x-3)2+6 ∴S的最大值为6, 此时x =3; (3)延长NP交x轴于Q,则有PQ⊥OA ①若MP=PA ∵PQ⊥MA ∴MQ=QA=x. ∴3x=6, ∴x=2; ②若MP=MA,则MQ=6-2x,PQ=
x,PM=MA=6-x 在Rt
PMQ中,∵PM2=MQ2+PQ2 ∴(6-x) 2=(6-2x) 2+ (
x) 2 ∴x=
③若PA=AM,∵PA=
x,AM=6-x ∴
x=6-x ∴x=
综上所述,x=2,或x=
,或x=
。
7
解:
(1)横向甬道的面积为:
(2)依题意:
整理得:
(不符合题意,舍去) ∴甬道的宽为5米. (3)设建设花坛的总费用为y万元. 
当
时,y的值最小. 因为根据设计的要求,甬道的宽不能超过6米,
米时,总费用最少. 最少费用为:
万元
8
解:
(1)PN=
. (2)过点P作PQ⊥AD交AD于点Q. 可知PQ=AN=2x. 依题意,可得AM=3-x. ∴S=
·AM·PQ=
·(3-x)·2x=-x2+3x=-
. 自变量x的取值范围是:0<x≤2. ∴当x=
时,S有最大值,S最大值=
.
(3)△MPA能成为等腰三角形,共有三种情况,以下分类说明:①若PM=PA, ∵PQ⊥AD,∴MQ=QA=PN=
. 又DM+MQ+QA=AD ∴4x=3,即x=
. ②若MP=AM, MQ=AD-AQ-DM=3-
,PQ=2x,MP=MA=3-x. 在Rt△PMQ中,由勾股定理得:MP2=MQ2+PQ2. ∴(3-x)2=(3-
)2+(2x)2.解得x=
,x=0(不合题意,舍去)③若AP=AM, 由题意可求AP=
,AM=3-x. ∴
=3-x.解得x=
. 综上所述,当x=
,或x=
,或x=
时,△MPA是等腰三角形.
9
解:
(1)4(n-3)-4+(n-4)=5(n-4)5(n-4)-5+(n-5)=6(n-5);(2)
;(3)当n=21时,
=
所以,当x=10时,
。
10
解:
(1)300(10+x);500-10x;(2)设月销售利润为W元,由题意得
整理得
当x=20时,W有最大值9000,而20+50=70,答:8000元不是最大利润,最大利润为9000元,此时篮球的售价为70元。
初中生配套学习教辅

如何领取这个电子版资料

