中考系列——一次函数与面积问题
本杰明说“数学是规律和理论的裁判和主宰者。今天张老师给大家分享的是中考系列版块之——一次函数与面积问题。这类问题主要会考查下面三种情况:
①一条直线与坐标轴围成三角形面积问题
②两条直线相交与坐标轴围成三角形面积问题
③三条直线两两相交围成的三角形面积问题
但这三种情况最关键的是确定合适的底和高,但最终可以归结为一句话“水平宽,铅垂高”来解决这类面积问题,具体如下图所示:





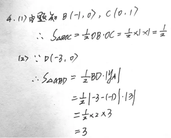
学生解答分享:






分析:本题的巧妙在于需要用分类讨论思想来思考问题,因为K的值待定,所以会存在大于0和小于0两种情况;因此由面积推出K的值要考虑两种情况,又由于一次函数和正比例函数的图像的交点在第一象限,所以求出K的值之后要逐一验证是否满足这个条件,从而进行K值的取舍分析。因此本题对学生的逻辑思维要求较高,但当学生理解之后就会对一次函数的性质会有一个更深入地理解。
学生解答分享:

总之,“万变不离其宗”。希望同学通过典型例题的探究,感悟数学学习的通性通法,逐步达到举一反三的水平。最后祝你更懂数学!




文章来源:
四季读书网
版权声明:本文内容由互联网用户自发贡献,该文观点仅代表作者本人。本站仅提供信息存储空间服务,不拥有所有权,不承担相关法律责任。如发现本站有涉嫌抄袭侵权/违法违规的内容, 请发送邮件至23467321@qq.com举报,一经查实,本站将立刻删除;如已特别标注为本站原创文章的,转载时请以链接形式注明文章出处,谢谢!