中考数学计算专项分类练习燃烧你的大脑

四季读书网 13 0
中考数学计算专项分类练习燃烧你的大脑
数学抓基础,基础抓计算,计算能力强,数学必飞扬。
中考数学计算专项分类练习燃烧你的大脑 第1张
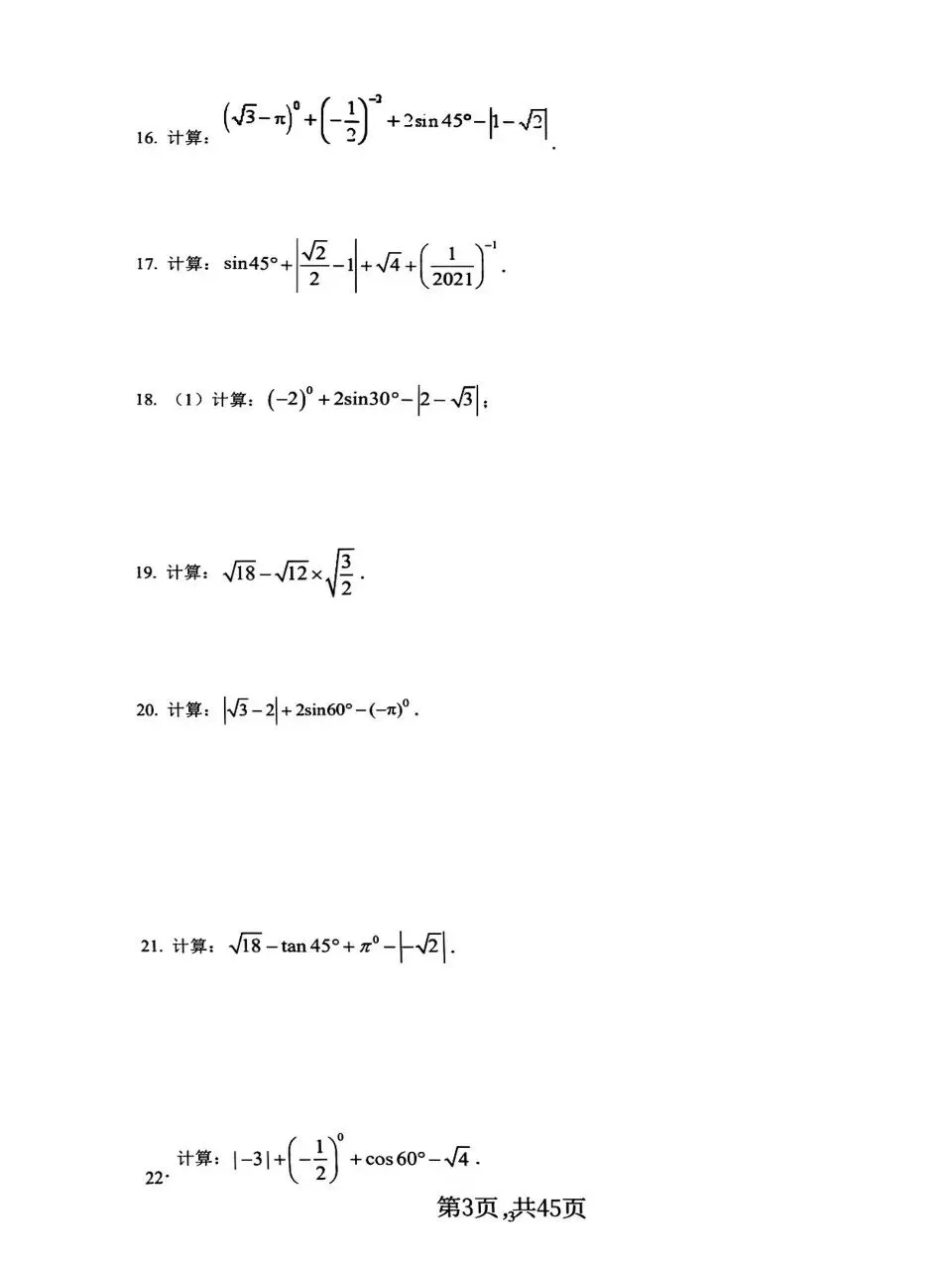
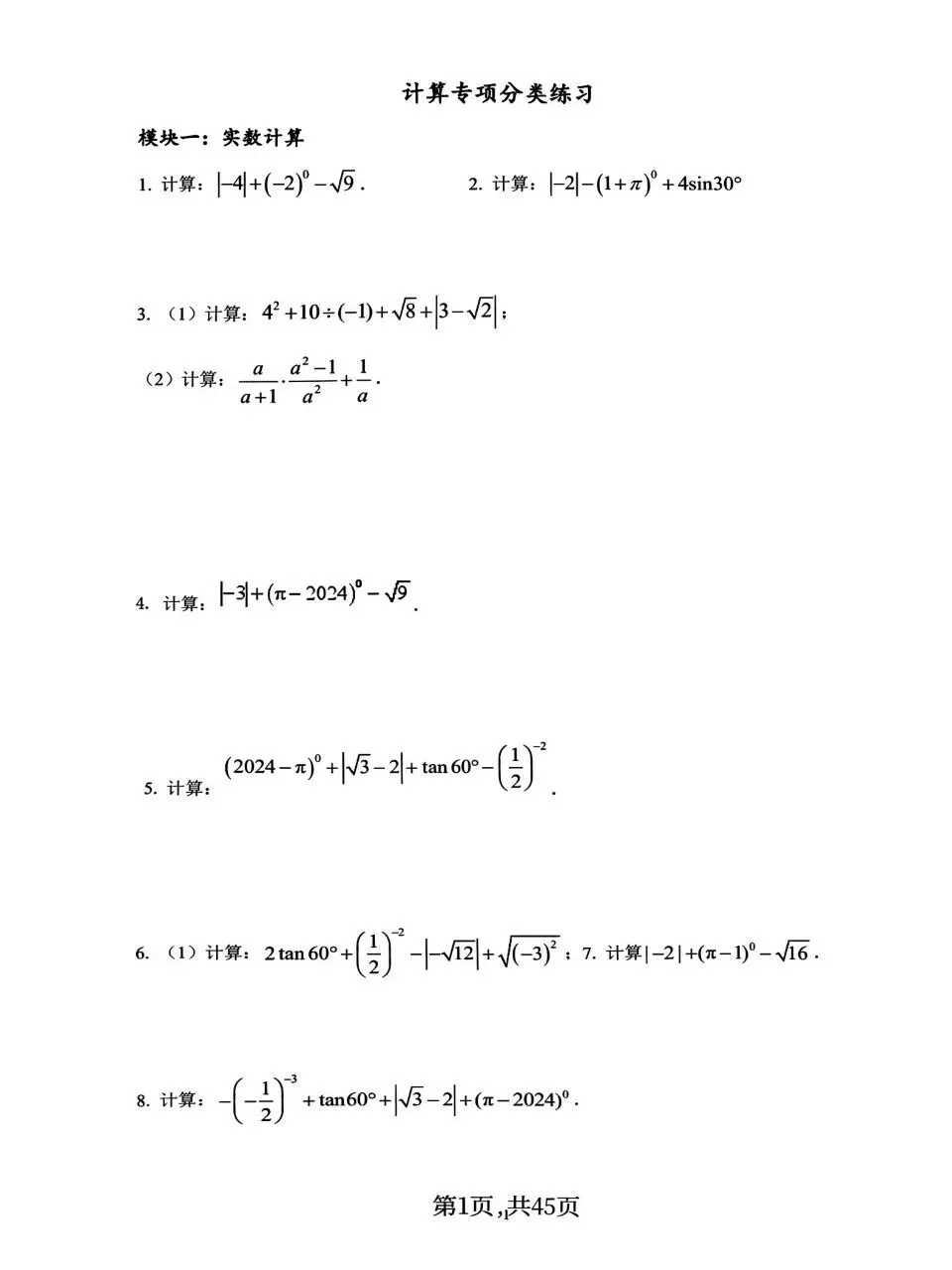
中考数学计算专项分类练习燃烧你的大脑 第2张中考数学计算专项分类练习燃烧你的大脑 第3张中考数学计算专项分类练习燃烧你的大脑 第4张中考数学计算专项分类练习燃烧你的大脑 第5张中考数学计算专项分类练习燃烧你的大脑 第6张中考数学计算专项分类练习燃烧你的大脑 第7张中考数学计算专项分类练习燃烧你的大脑 第8张中考数学计算专项分类练习燃烧你的大脑 第9张
中考数学计算专项分类练习燃烧你的大脑 第10张
中考数学计算专项分类练习燃烧你的大脑 第11张中考数学计算专项分类练习燃烧你的大脑 第12张中考数学计算专项分类练习燃烧你的大脑 第13张
中考数学计算专项分类练习燃烧你的大脑 第14张
中考数学计算专项分类练习燃烧你的大脑 第15张推荐资料中考数学计算专项分类练习燃烧你的大脑 第16张

中考数学基础中档选填解答小卷

中考数学一轮基础巩固测

中考一轮数学作业册


点击左下角“阅读原文”有惊喜中考数学计算专项分类练习燃烧你的大脑 第17张中考数学计算专项分类练习燃烧你的大脑 第18张中考数学计算专项分类练习燃烧你的大脑 第19张

抱歉,评论功能暂时关闭!