


【关注北大铭师堂,学习路上,点亮前方】
[图片]
5人精品定制.精准提升 . 拒绝喧嚣浮华的大班
| A. | 高三5人精品全托班/高三5人精品复读班 |
| B. | 高三艺考5人精品全托班 |
| C. | 中高考白金一对一全托 |
| D. | 新高一高二VIP5人精品班 |
请点击:2025年贵阳市中考体育考试4月7日开考|附评分标准|贵州中考体育分值是否要调整到100分?贵州省教育厅回复
2025贵州中考省一模倒计时!初三一模的含金量为何如此之高?揭秘省模命题趋势,家长必看!(附真题)
贵阳中考真相!各区要考多少分才能稳上高中?2024、2023两年分数告诉你|中考“三个排名”和“绝对位次”到底是啥!
@贵阳中考生:600分到700分能选哪些高中|普通高中扩招2000人,这些升学方式知道吗?录取投档线及位次大汇总!
高中扩招!贵阳初中生如何搭上“政策车”?(附往年中考录取数据解析)
贵阳中考|2025年贵阳中考人数67490人!2028年中考学生突破8万大关!录取形式如何呢?
贵州中考2025年一模试卷分析显示物理化学考试内容和题型的变化趋势
【勤渊培训】
汇集优秀师资
5人精品班型管理
让每一位同学都能享受到最贴合自身的教学进度。

5人精品衔接班
限额招生

课堂介绍
讲解新课标要求下的独有提分做题方法与思路,
拥有完整学习提分构架,
并在中高考中应用率90%以上,
立足中高考,夯实基础,
先入门,再练功,注重培养学生学习兴趣!
课堂氛围严谨高效,
5人精准定制
专注于用最简单的方法解决每一位学生的难题,
捕捉细小漏洞,
让学生在最短的时间内形成完善的体系,
发挥最大的潜能,
提高最多的分数。
师资团队水平直接决定你的提分水平
优质教师团队
与贵阳重点中学学生共享教学资源
90%拥有10年以上教学经验
北大铭师堂VIP5人中高考冲刺 · 全科一对一
摒弃填鸭式补课模式,量身定制
采取VIP5人小班模式\一对一VIP教学模式
补知识,补成绩,更补技巧
针对你的学习情况
怎么学,学什么,因你而定
培优补差,赢战高考!
【总校区地址】: 贵阳市宝山北路嘉信华庭三楼(临贵州师范大学宝山校区)
【报名电话】 :0851-86889017 13124677881
2025年贵阳中考成绩700分以上108人,占比0.16%,分别比去年下降880人和1.37个百分点 ;600分以上14493人,占比21.47% ,分别比去年下降3808人和 6.82 个百分点(2024年700分以上988人,占比1.53% ;600分以上18301人,占比28.29%)。
2025年,贵阳贵安参加初中学业水平考试的考生为67490人。普通高中计划招生42828人(其中,“三区一地”18290人,花溪区2778人,乌当区2640人,白云区4180人,清镇市5770人,修文县2850人,开阳县2550人,息烽县1850人,贵安新区1920人);中等职业学校计划招生23280人。经市委教育工作领导小组研究,确定了贵阳贵安普通高中和综合高中第一、第二、第三批次,“3+4”中本贯通班招生投档控制分数线,具体如下:
“三区一地”(云岩、南明、观山湖、原小河地区)普通高中学校招生第一批次投档控制线为575分,第二批次投档控制线为511分;
花溪区普通高中学校招生第一批次投档控制线为541分,第二批次投档控制线为498分;
乌当区普通高中学校招生第一批次投档控制线为512分,第二批次投档控制线为444分;
白云区普通高中学校招生第一批次投档控制线为552分,第二批次投档控制线为468分;
清镇市普通高中学校招生第一批次投档控制线为543分,第二批次投档控制线为476分;
修文县普通高中学校招生第一批次投档控制线为463分,第二批次投档控制线为448分;
开阳县普通高中学校招生第一批次投档控制线为469分,第二批次投档控制线为464分;
息烽县普通高中学校招生第一批次投档控制线为479分,第二批次投档控制线为442分;
贵安新区普通高中学校招生第一批次投档控制线为524分,第二批次投档控制线为462分;
贵阳贵安普通高中学校招生第三批次投档控制线为417分;
贵阳贵安“3+4”中职教育与应用本科教育贯通班招生投档控制线为470分。
【总校区地址】: 贵阳市宝山北路嘉信华庭三楼(临贵州师范大学宝山校区)
【报名电话】 :0851-86889017 13124677881
提前批次 
第一批次



7月19日,2025年贵阳贵安高中阶段学校网上招生录取工作继续进行,顺利完成了第一批次补报录取工作以及第二批次录取工作。录取情况如下:

▲第二批次录取具体情况

2022-2024年贵阳中考投档控制线及各高中录取分数线
2024年,贵阳贵安参加初中学业水平考试的考生64695人。普通高中计划招生39651人(其中,“三区一地”16961人,花溪区2380人,乌当区2560人,白云区3900人,清镇市5470人,修文县2330人,开阳县2600人,息烽县1850人,贵安新区1600人);职业学校招生计划人数为21910人(含五年一贯制专科学校招生计划350人、 “3+4”中本贯通培养试点项目招生计划126人)。经市招生委员会研究,确定了贵阳贵安各招生区域的第一、第二、第三批次、 “3+4”中本贯通培养试点项目及五年制大专投档控制分数线,具体如下:
“三区一地”(云岩区、南明区、观山湖区、原小河地区)普通高中学校招生第一批次投档控制线为600分,第二批次投档控制线为538分;





2023年,贵阳贵安报名参加初中学业水平考试考生60709人。普通高中计划招生35405人;职业学校招生计划人数为24361人(含五年一贯制专科学校计划招生265人、“3+4”中职教育与应用本科教育的贯通计划招生91人)。从考生成绩来看,全市700分(含700分)以上考生804人,600分(含600分)至699分考生14664人。
“三区一地”(云岩、南明、观山湖、原小河地区)普通高中学校招生第一批次投档控制线为602分,第二批次投档控制线为552分;
花溪区普通高中学校招生第一批次投档控制线为516分,第二批次投档控制线为469分;
乌当区普通高中学校招生第一批次投档控制线为548分,第二批次投档控制线为477分;
白云区普通高中学校招生第一批次投档控制线为580分,第二批次投档控制线为497分;
清镇市普通高中学校招生第一批次投档控制线为557分,第二批次投档控制线为472分;
修文县普通高中学校招生第一批次投档控制线为482分,第二批次投档控制线为474分;
开阳县普通高中学校招生第一批次投档控制线为454分,第二批次投档控制线为448分;
息烽县普通高中学校招生第一批次投档控制线为469分,第二批次投档控制线为415分。
全市第三批次投档控制线为440分,其中息烽县为408分。
特别提醒一点,全市提前批次:贵阳雅礼高级中学(贵阳市第九中学)和长郡贵阳高级中学(贵阳市民族中学)实验班投档控制线为665分;
全市“3+4”中职教育与应用本科教育贯通班招生投档控制线为470分;
全市五年制大专投档控制线为408分。





“三区一地”(云岩、南明、观山湖、原小河地区)普通高中学校招生第一批次最低控制线为585分,第二批次最低控制线为522分;
花溪区普通高中学校招生第一批次最低控制线为465分,第二批次最低控制线为410分;
乌当区普通高中学校招生第一批次最低控制线为539分,第二批次最低控制线为478分;
白云区普通高中学校招生第一批次最低控制线为580分,第二批次最低控制线为520分;
清镇市普通高中学校招生第一批次最低控制线为513分,第二批次最低控制线为440分;
修文县普通高中学校招生第一批次最低控制线为445分,第二批次最低控制线为424分;
开阳县普通高中学校招生第一批次最低控制线为435分;第二批次最低控制线为435分;
息烽县普通高中学校招生第一批次最低控制线为460分,第二批次最低控制线为410分。
全市普通高中第三批次最低控制线为420分,花溪区、息烽县、修文县400分。
五年制大专最低控制线为400分。


















考600分到700分能选哪些高中|2024年录取投档线及位次大汇总
向下滑动查看

向下滑动查看

2025年贵阳贵安
中考分数段统计表
▼▼▼
贵阳贵安2025年分数段统计




三区一地分数段统计




花溪区分数段统计




乌当区分数段统计




白云区分数段统计




清镇市分数段统计




息烽县分数段统计




修文县分数段统计




开阳县分数段统计




贵安新区分数段统计




贵阳市2024年中考
各批次划线及一分一段表
“三区一地”(云岩区、南明区、观山湖区、原小河地区)普通高中学校招生第一批次投档控制线为600分,第二批次投档控制线为538分;
花溪区普通高中学校招生第一批次投档控制线为548分,第二批次投档控制线为488分;
乌当区普通高中学校招生第一批次投档控制线为554分,第二批次投档控制线为502分;
白云区普通高中学校招生第一批次投档控制线为579分,第二批次投档控制线为498分;
清镇市普通高中学校招生第一批次投档控制线为573分,第二批次投档控制线为505分;
修文县普通高中学校招生第一批次投档控制线为467分,第二批次投档控制线为462分;
开阳县普通高中学校招生第一批次投档控制线为487分,第二批次投档控制线为482分;
息烽县普通高中学校招生第一批次投档控制线为491分,第二批次投档控制线为450分。
贵安新区普通高中学校招生第一批次投档控制线为558分,第二批次投档控制线为488分;
贵阳贵安普通高中学校招生第三批次投档控制线为437分;
贵阳贵安“3+4”中本贯通培养试点项目投档控制线为470分;
全市五年制大专投档控制线为437分。
贵阳贵安2024年分数段统计




贵阳市2024年三区一地分数段统计




贵阳市2024年花溪区分数段统计




贵阳市2024年乌当区分数段统计




贵阳市2024年白云区分数段统计




贵阳市2024年清镇市分数段统计




贵阳市2024年息烽县分数段统计




贵阳市2024年修文县分数段统计




贵阳市2024年开阳县分数段统计




贵阳市2024年贵安新区分数段统计




贵州省九个市州2024年中考分数线汇总(重要参考)
贵阳贵安2024年高中阶段学校志愿填报最低控制线
2024年,贵阳贵安参加初中学业水平考试的考生64695人。普通高中计划招生39651人(其中,“三区一地”16961人,花溪区2380人,乌当区2560人,白云区3900人,清镇市5470人,修文县2330人,开阳县2600人,息烽县1850人,贵安新区1600人);职业学校招生计划人数为21910人(含五年一贯制专科学校招生计划350人、 “3+4”中本贯通培养试点项目招生计划126人)。经市招生委员会研究,确定了贵阳贵安各招生区域的第一、第二、第三批次、 “3+4”中本贯通培养试点项目及五年制大专投档控制分数线,具体如下:
2024年的招生录取工作网上招生录取,公办、民办普通高中、中外合作项目、3+4中本贯通培养、五年制大专全部纳入网上招生,中职学校的招生计划采取线上+线下的方式进行招生,志愿填报仍然按“网上填报,批次平行,遵循志愿,择优录取”的原则进行投档。贵阳市的学生可填报普通高中和职业高中共31个志愿,比去年增加了6个普通高中志愿。其中,普通高中招生的类别分为配额生、统招生、定向生、特长生、政策生,共5类,贵阳市每位学生最多可填报普通高中学校4个批次,24个志愿;职业高中学校可填报7个志愿。贵安新区学生可填报普通高中学校3个批次11个志愿;职业高中学校可填报7个志愿。
7月8日,组织全市考生模拟填报志愿、测试人脸识别系统;7月10日,办理体育艺术特长生、春风班等考生的录取手续;7月12日至14日,2024届初中毕业生网上填报志愿;7月16日至23日,按照考生志愿进行各批次录取,公布录取结果。
贵阳市教育局特别提醒,各位家长要及时加强和学校或学生班主任的沟通,指导考生合理填报志愿,并保管好准考证和密码,不要轻信“包升学”“包进好班”等虚假承诺,或把准考证和密码交给别人,请别人代填报志愿,一旦志愿锁定以后是不能退档重报的,一定要提高警惕。同时,考生和家长要根据贵阳市中考考试招生录取工作日程表,在指定的时间内登录系统,进行模拟志愿填报和正式志愿填报,确保在志愿填报系统关闭前成功提交志愿。
遵义市2024年普通高中、“3+4”中本贯通培养学校和“五年一贯制”培养学校录取最低控制线


毕节市招生考试管理中心关于2024年相关学校中考录取分数线的公告
毕节市2024年中考录取工作已结束,现将各相关学校录取分数线公布如下:
一、录取信息发布
考生可通过以下方式获取录取信息。
(一)通过手机短信将录取信息直接发送至考生中考报名时预留的手机号。
(二)考生可登录毕节市中考招生录取系统,凭报名号和个人密码查询本人录取情况,系统登录网址:https://zz-bj.eduyun-cn.com
二、各批次最低录取分数线

注:“3+4”中本贯通志愿录取需达到文综C等及以上,文化分不低于全市普通高中最低控制线。总分相同时,依次按照考生语文、数学、英语、理综科目分数排序录取。





温馨提示:
1.登录招生系统时请使用电脑,避免手机登录因分辨率因素出错。
2.被志愿学校录取的考生,应在规定时间内持录取通知书到学校报到并办理入学相关手续,在规定时间内未报到且未向录取学校履行有关手续的,视为放弃就读机会。
黔东南州2024年普通高中及“3+4”中本贯通培养录取控制分数线划定

投档控制线392分!黔南州2024年中考分数段统计结果出炉
黔南州2024年中考成绩已于7月8日12:00发布,志愿填报时间为7月10日-7月12日,请广大考生在规定时间登陆(http://qnzkbm.ncu.edu.cn)查询成绩和填报志愿。
经黔南州招生委员会研究,划定全州2024年普通高中投档控制线为392分。“3+4”贯通培养学校和五年制大专不单独划线,参照普通高中投档控制线。中考成绩未达到投档控制线的,不能报读我州普通高中和面向我州招生的“3+4”贯通培养学校和五年制大专。
附:全州及12县(市)中考分数段统计表
黔南州招生考试管理中心
2024年7月8日
黔南州




都匀市




福泉市




瓮安县




贵定县



龙里县




惠水县




长顺县




独山县




三都县




荔波县




平塘县




罗甸县




黔西南州招生委员会办公室2024年中考公告(一)
各批次最低控制分数和成绩发布等
一、各批次最低控制分数
黔西南州招生委员会办公室
2025年贵阳高中阶段学校
招生信息
(学校排名不分先后)
贵阳市第一中学

招生计划
1333人
收费标准
严格执行省市两级对教育领域的收费物价管理相关规定。学费1000元/学期,住宿费600元/学期,书费据实收取。
咨询电话
0851-87986823
0851-87987249

贵阳市第二中学

招生计划
506人
收费标准
严格执行省市两级对教育领域的收费物价管理相关规定。学费900元/学期;书费严格按规定据实收取;住宿费文笔(200元/学期)、忠烈(300元/学期)。
咨询电话
0851-85861596(教务处)陈老师、黄老师
0851-85874125(办公室)罗老师、秦老师

贵阳市第三实验中学

招生计划
766人
收费标准
严格按照物价主管部门批准的项目和标准执行。学费1000元/学期;住宿费600元/学期;书费按书价代收。
咨询电话
0851-85611752
0851-85920776

贵阳市第五中学

招生计划
500人
收费标准
按照物价主管部门批准的项目和标准执行,每学期650元。
咨询电话
0851-86812824(教务处)
0851-86819771(党政办)

贵阳市第六中学

招生计划
650人
收费标准
严格执行省市两级对教育领域的收费物价管理相关规定。学费1000元/学期;住宿费600元/学期;书费据实代收。
咨询电话
0851-84760868(教务处) 潘老师、陈老师

贵阳市第八中学

招生计划
500人
收费标准
严格按公办学校收费标准执行。学费900元/学期;书费按书价据实收取;中晚餐费8元/餐;住校生住宿费250元/学期。
咨询电话
0851-86551250 张老师、何老师、李老师
0851-86551893 赵老师

贵阳雅礼高级中学
(贵阳市第九中学)

招生计划
717人
收费标准
严格执行省市两级对教育收费领域的物价管理相关规定。学费900元/学期,住宿费600元/学期,书费按书价据实收取。
咨询电话
0851-88609072(教务)
0851-88609075(校办)

长郡贵阳高级中学
(贵阳市民族中学)

招生计划
600人
收费标准
严格执行省市两级对教育领域的收费物价管理相关规定。学费900元/学期;住宿费400元/学期;书费按书价实收。
咨询电话
0851-83609102
0851-83609021

贵州师范大学附属中学

招生计划
1200人
收费标准
配额生、统招生学费:按上级部门规定标准收取,900元/学期。
播音与主持、音乐、美术类学生学费:4000元/学期。
住宿费:500元/学期。
书费:按书价实收。
咨询电话
0851-85934305
0851-85601360

贵州省实验中学

招生计划
740人
收费标准
严格执行省市两级对教育收费领域的物价管理相关规定。学费900元/学期;住宿费450元/学期;课本军训、校服等相关费用按实际情况收取。
咨询电话
0851-85975251(教学处)
0851-85812927(学生处)
0851-85988493(校办公室、国际部)

中央民族大学附属中学贵阳学校

招生计划
602人
收费标准
严格执行省市两级教育行政部门对公办普通高中学费、住宿费、书费等教育收费管理项目的有关规定。学费500元/学期,住宿费400元/学期,书费按贵阳市教育局对公办普通高中教材教辅征订相关规定据实收取。
联系方式
0851-88153985
0851-88156090
贵阳市第二十五中学

招生计划
1002人
收费标准
严格执行省市两级对教育收费领域的物价管理相关规定。学费900元/学期,住宿费500元/学期,书费按书价据实收取;其他服务性代收费按照自愿原则,据实及时结算。
联系方式
0851-83838231 (教务处)
0851-83838071 (教学处)
0851-83838863 (校办)
贵阳市花溪区溪南高中
(北京一六一中学贵阳分校)

招生计划
600人
收费标准
严格执行省市两级对教育收费领域的物价管理相关规定。学费500元/学期,住宿费500元/学期。
联系方式
0851-88407616 (教务处)
北京师范大学贵阳附属中学

招生计划
761人
收费标准
严格按照物价主管部门批准的项目和标准执行。
联系方式
0851-84119085
观山湖区第一高级中学

招生计划
882人
收费标准
严格执行省市两级对教育收费领域的物价管理相关规定。学费650元/学期,住宿费500元/学期,书本费按书价据实收取。
联系方式
0851-84808810
0851-84808802 (招生办)
贵阳市南明甲秀高级中学

招生计划
401人
收费标准
严格依据省、市、区教育收费政策及物价核定标准执行。学费650元/学期,教材费据实收取,住宿费500元/学期。
联系方式
0851-88516292
13310400981 张老师
15085991977 龙老师
18608578381 包老师
贵州大学附属中学

招生计划
552人
收费标准
严格执行省市两级对教育收费领域的物价管理相关规定。学费900元/学期,住宿费500元/学期。
联系方式
0851-88405260
0851-88405298
上海市进才教育集团贵阳共建校
(贵阳市第十中学)

招生计划
550人
收费标准
严格按公办学校收费标准执行。学费650元/学期,书费按书价据实收取,住宿费以上级主管部门的批复为准。
联系方式
0851-85616083 周老师
13765129929 陈老师
13985481856 周老师
15348658835 吴老师 俄语
18111822582 张老师 日语
贵阳市第十二中学

招生计划
500人
收费标准
严格执行省市两级对教育领域的收费物价管理相关规定。学费650元/学期,住宿费250元/学期。
联系方式
0851-85112198 教务处
0851-85111201 教学处
15338601672 宋老师
15902699884 季老师
贵阳市清华中学

招生计划
统招生900人,中加高中课程项目班200人
收费标准
严格按照物价主管部门批准的项目和标准执行。学费统招生每生1000元/学期,中加高中课程项目班每生6000元/学期,住宿费500元/学期,书费按实际产生书价收取。
联系方式
0851-88157898
0851-88156809
北京师范大学贵安新区附属学校

招生计划
450人
收费标准
严格按照物价主管部门批准的项目和标准执行或严格依据省市两级对教育领域的收费物价管理相关规定。
联系方式
0851-88308405
18275177520 李老师
18008510960 任老师
13608548579 刘老师
观山湖区第十一中学

招生计划
450人
收费标准
严格按照物价主管部门批准的项目和标准执行。学费650元/学期,住宿费400元/学期,书费按书价据实收取。
联系方式
13765050423 龚老师
18188016743 王老师
0851-84722089 招生办公室
0851-84722289 招生办公室
贵州师范大学云岩实验中学

招生计划
200人
收费标准
学费、书费、住宿费等严格执行省市区各级对教育领域的收费物价管理相关规定执行。学费650/学期,住宿费600元/学期。
联系方式
0851-86751553 教务处
贵州省农业科学院附属中学

招生计划
246人
收费标准
严格执行省市两级对教育收费领域的物价管理相关规定。学费650元/学期,住宿费700元/学期,书费按书价据实收。
联系方式
0851-88236054
贵阳市第十一中学

招生计划
200人
收费标准
严格执行省市两级对教育收费领域的物价管理相关规定。学费500元/学期,住宿费500元/学期。
联系方式
0851-88407616 教务处
贵阳市第三十一中学
(贵阳市经济贸易中等专业学校)

招生计划
100人
收费标准
按省教育厅批复为准,原则上不超过650元/学期。
联系方式
0851-82572427
0851-83904696
18198616001
18198616002
18198616003
贵阳市乌当中学

招生计划
800人
收费标准
严格按省、市物价局文件规定收费。学费900元/学期,课本、校服等服务性代收费,自愿原则,据实结算。住校费按照物价部门核准标准收费。
联系方式
0851-86415615 教务处
贵阳市乌当区第四中学

招生计划
400人
收费标准
严格执行省市两级对教育收费领域的物价管理相关规定。学费500元/学期,住宿费400元/学期,书费按书价据实代收。
联系方式
0851-86840552
15608500020 马老师
@贵阳贵安考生今年新增3所高中和1所综合高中,志愿填报别漏掉
2025年贵阳贵安新增了
3所普通高中
1所综合高中试点校
一起来看看
这几所学校的相关信息吧
填报志愿的时候别漏掉哦
(学校排名不分先后)
01
贵阳市第十一中学



一、学校概况
办学性质:公办
学校地址:贵阳市花溪区金筑街道办事处鑫中路431号
学校简介:贵阳市第十一中学前身是1958年成立的贵州省险峰机床厂子校,1998年贵阳市教育局接管子校,正式更名为贵阳市第十一中学,2016年由于地域问题,学校停止招生。根据教育高质量发展的需要,2025年启用原贵阳经济技术学校校址作为贵阳市第十一中学新校址招生办学,花溪区教育局对学校进行升级改造,美化校园环境,增补教学设施。通过人才引进、公费师范生录用等方式组成教师队伍。该校由花溪区教育局举办,贵阳市花溪区溪南高中领办,力争使贵阳市第十一中学成为校风优良,五育并举的优质高中。
二、招生计划及对象
(一)招生计划:2025年计划招生200人(面向原小河地区网招50人,面向花溪区网招150人)。
(二)招生对象:参加贵阳市2025年中考的考生。
三、收费标准
严格执行省市两级对教育收费领域的物价管理相关规定。学费500元/学期,住宿费500元/学期。
四、注意事项
1.学校住宿:全寄宿制学校
2.联系方式:教务处0851-88407616

02
湖南师范大学附属贵安实验学校



一、学校概况
2024年7月8日贵安新区管理委员会与湖南师范大学、湖南师范大学附属中学签约,举办湖南师范大学附属贵安学校,2024年10月30日正式启动项目建设,学校将于2025年9月正式开学。
学校位于贵阳大数据科创城南部,丹霞路与朝霞路交界处,占地面积约316亩(其中小学、初中166.65亩;高中用地149亩)。办学规模为60班小学、36班初中、60班高中的十二年贯制学校,学校整体建成后可提供7500个学位。
二、招生计划、对象
2025年学校招生计划共计160人,其中:面向全省招生40人、面向贵阳三区一地招生40人(提前批次);在贵安新区招生80人(其中统招一批次60人,自主招生20人)。
三、收费标准
学校按照贵阳贵安有关公办高中收费标准开展收费,目前以普通高中标准收费,并给学生提供优良的学习生活条件;且为学生开展奖学金、助学金等有关学生资助政策,并为家庭困难、品学兼优学生开展奖学助优工作,确保学生在校生活和学习。
四、联系方式
夏老师:13511859754
王老师:18885409054
杨老师:17608512987
韩老师:13765007300
潘老师:13985825391

03
贵阳市智圣中学



一、学校概况
贵阳市智圣中学是由贵州智圣国际教育发展有限公司耗时八年全资修建的一所经贵阳市教育局批准成立的全日制寄宿制民办普通高级中学,总占地面积251亩,一期投资近5亿元人民币,建筑面积约5万平方米,可同时容纳3000余名学生。贵阳市智圣中学以“厚德启智,健体尚美”为核心,秉持“立德树人”的核心理念,通过打造精英师资团队(国家级教学名师领衔,中级以上职称教师占半数以上,硕士研究生及以上学历占比达90%),形成高水准教学保障体系,采取小班化精细管理,构建“课堂+实践+个性”发展三维育人模式。
二、招生计划、类别及对象
招生计划:以贵阳市教育局实际下达指标为准
招生类别:普通高中
招生对象:参加贵阳市2025年中考的考生
三、收费标准
严格按照发改委物价部门登记的收费项目及标准执行。
学费:22000/学期,住宿费2500/学期,对品学兼优的学生执行奖学金制度,家庭困难的学生执行一生一案专项助学。
生活费自理(自由选餐),保险、教材教辅、床上用品等代收费据实收取。
四、联系方式
0851-85501796
0851-85503019
13027869866
18111919826
学校地址:贵阳市南明区双龙北线北侧,贵阳市环城高速西侧(双龙北线与龙水路交汇处)

04
贵阳市第三十一中学
(贵阳市经济贸易中等专业学校)



一、学校情况
办学类型:全日制
办学性质:公办
办学层次:综合高中、中等职业教育
学制:三年
办学地址:清镇职教城将军石路6号
学校简介:贵阳市第三十一中学(贵阳市经济贸易中等专业学校)创办于1974年,系贵阳市教育局直属公办学校、省级优质中等职业学校、国家级重点中等职业学校。2021年迁至贵州(清镇)职教城,占地242亩,现有教师210人,其中研究生学历54人、正高级教师5人、副高级讲师56人。学校现有多媒体学生教室78间、教学机房24间、纸质图书13万册,电子图书20万册。
二、综合高中班
根据省教育厅印发的《贵州省综合高中试点方案》,贵阳市2025年启动综合高中试点,在指定的中等职业学校开办试点班。2025年度,综合高中试点班,学校为贵阳市第三十一中学(贵阳市经济贸易中等专业学校),在普通高中第二批次进行招录。
学生注册高中学籍,住校管理。高一学年开设普高一年级课程和职业体验课程;高二学年开设普高二年级课程和职业技能模块化课程;高三学年升学强化与技能提升。
综合高中的学生在毕业时可以选择参加普通高考进入普通高校,或选择参加职教高考进入高等职业院校。
三、招生计划和对象
招生计划:100人(2个综合高中班)
招收对象:面向贵阳市“三区一地”(云岩区、南明区、观山湖区及原小河区),参加贵阳贵安2025年初中学业水平考试的考生。
四、收费标准
学费:按省教育厅批复为准,原则上不超过650元/学期。
五、报名咨询
报名方式:通过“贵阳贵安高中阶段学生管理服务平台”进行网上报名。
咨询电话:
0851-82572427
0851-83904696
18198616001
18198616002
18198616003

注:以上内容综合整理自《2025年贵阳市高中阶段学校报考指南》、湖南师范大学附属贵安学校官方微信,仅供大家参考。

普通高中入学路径
配额生

统招生

定向生

特长生

政策生

除了以上5种招生类型
还有不少升学路径值得了解
自主招生

双师班

县域高中振兴班

另外,不少同学和家长咨询
职业学校有哪些升学途径?
培养模式是怎么样的?
职业学校入学路径
中本“3+4”贯通

中高职五年一贯制

中高职“3+2”“3+3”衔接

三年制中职

五年制高级技工

三年制中级技工

025年贵阳中考初中配额生分配表已出炉,各位家长非常感兴趣哪些学校配额生名额较多?配额生资格如何获取?与什么有关系?每个人都可以享受配额生录取吗?今年有哪些学校有第一届初三考生新增配额生?




备注:可以点击图片放大查看!

1、贵阳市“三区一地”和其他区(市、县)的户籍学生,连续在辖区内同一初中就读初二、初三年级的。
2、贵阳市“三区一地”和其他区(市、县)户籍跨区就读的学生,具有同一初中学校连续三年学籍的
3、非贵阳市户籍的进城务工子女,在贵阳市就读九年义务教育且初中三年在同一学校就读的(即满足同城待遇)
简单来说,要想享受配额生的资格,贵阳市户籍的不跨区需要有两年学籍;跨区的需要有三年学籍;非贵阳市户籍必须一年级到初三连续九年在贵阳就读满足同城待遇,否则将丧失配额生的资格条件。
另外在这一块给大家强调一个内容:贵阳市户籍但跨区域就读考生报考贵阳高中,若回户籍所在地参加中考就读高中阶段学校的学生,则不能享受户籍所在地招生区域的配额生、定向生,其余政策与本招生区域户籍生相同。


1. 从近两年初中配额生的分配计划来看,我们发现分配名额总和top10基本上没什么大的差别,集中在:实验二中、中天中学、贵阳市第一实验中学、贵阳市第三十四中学、贵阳市第十九中、贵阳市花溪实验中学、北京市第八中学贵阳分校、贵阳十八中、华麟学校等学校,且大多数都为公办中学,民办初中基本上分配总和都要略低一点。
2. 从贵阳一中、实验三中分配计划来看,分配名额较多的学校有:实验二中、贵阳市第一实验中学、北京市第八中学贵阳分校、贵阳十八中、贵阳十九中。
3. 另外今年配额生分配相较往年来说,新增了一所高中:贵州大学附属中学。
4. 配额生认定资格对户籍和学籍有一定的要求,所以小升初择校并非仅仅是选择初中,它与中考也有着密不可分的联系。同时目前中考的录取顺序是先配额后统招,所以对于成绩很拔尖的初中学校来说,配额生已不再是优势,而对于成绩较弱的初中来说,配额生依旧是一个低分进入重点高中的好方法。(转自贵阳升学)

贵阳贵安2025年普通高中特长生招生计划!共1167人!
贵阳贵安2025年普通高中特长生招生计划出炉,共招收体育、艺术、科创类特长生1167人。其中,体育艺术类特长生专业测试继续实行全市统考。

贵阳贵安2025年普通高中特长生分为两类,即项目计划特长生,招生学校有贵阳市第一中学、贵阳市第二中学、贵阳市第三实验中学、贵阳市第六中学、贵阳市第八中学、贵阳雅礼高级中学、长郡贵阳高级中学等23所;特色学校特长生,招生学校有贵阳市第五中学、贵阳市第十二中学、修文县第一中学、贵州师范大学附属中学、贵阳市普瑞学校。(招生学校名单及招生计划,点击下方链接查看)
贵阳贵安2025年普通高中项目计划特长生招生项目及计划表
贵阳贵安2025年普通高中特色学校特长生招生项目及招生人数
具备一定体艺特长的2025年应(往)届初中毕业生均可报名,项目计划特长生限应届初中毕业生。贵阳市各招收体育、艺术项目计划特长生和特色学校特长生学校面向贵阳市符合条件的考生招生,贵安新区实验中学仅面向贵安新区符合条件的考生招生。
6月20日前,公布学校招生简章;6月23日-24日,考生根据要求进行报名;6月28日-29日,完成普通高中体艺特长生现场专项基础测试全市统考工作。(扫描二维码,查看各项目统考测试内容、规范)

市教育局强调,各区(市、县)教育局要高度重视,加强部门联动,相互合作,进一步细化工作措施,明确责任,做好考试期间安全保卫、医疗保障等工作,及时消除安全隐患;各学校要严格招生程序,严禁超范围、超计划违规招生。同时,考生应严格遵守考试纪律,服从考务人员的安排和管理。对在考试工作中弄虚作假,造成不良影响的单位和个人,按照招生工作有关纪律严肃处理。

贵阳中考政策名词深度解读→配额生、同城待遇、六区统筹……【附2025特长生和配额生表格】
“三区一地”
2025年,贵阳贵安继续分为9个招生区域,云岩区、南明区、观山湖区及原小河区为一个招生区域,简称为“三区一地”;其余花溪区、乌当区、白云区、清镇市、修文县、开阳县、息烽县、贵安新区,每个区域为独立的招生区域。
同城待遇
具有贵阳市正式学籍但无贵阳市正式户籍的初中应届毕业生应回户籍所在地报考升学。对在贵阳市连续就读并完成九年义务教育,且初中在同一所学校连续就读三年,并有该校三年正式学籍的考生需在我市升入高中阶段学校就读的,可在现就读初中学校参加中考报名,享受学校辖区所在地考生同等待遇。
该类考生报名时,须提供小学学籍材料、小学义务教育证、初中学籍材料和初中三年在同一所学校就读证明材料等。
具有我市初中正式学籍,有意愿在我市升学的外国国籍考生、香港户籍考生、澳门户籍考生、台湾户籍考生可由就读初中学校组织在本辖区招办报名参加中考,享受初中学校所在区(市、县)户籍人口同等待遇。
举个例子
张同学是云南省户籍,小学在贵阳市云岩区a小学就读并有该校正式六年学籍,初中三年也在贵阳云岩区b中学就读,并有该校三年正式学籍。那么,张同学可以享受同城待遇。
非同城待遇
特殊情况不能回户籍所在地报考的有贵阳市正式学籍、有意愿在贵阳升学的,但不具备同城待遇资格的考生,可参加中考报名考试,录取时将限制报考相关学校,具体限报规定待官方公布。该类考生高中毕业高考报名时须按当年的相关招生政策规定执行。非同城待遇考生的中考报名由其就读的初中学校统一到当地招办经批准办理“非同城待遇”报考升学手续后方可报名。(注:没有初中就读学校学籍的不能申请办理报考升学手续)
举个例子
刘同学是外省户籍,小学三年级跟随父母转到贵阳某小学上学,初中也在该区的初中学校就读,并具有该校的三年正式学籍,但不满足连续九年在贵阳就读的条件,如果刘同学想在贵阳报考高中学校,报考时将按照非同城待遇政策的条件填报。

我市普通高中招生的类别分为配额生、统招生、定向生、特长生、政策生,共5类,相信大家都有所耳闻,具体指的是什么呢?接着往下看——
配额生
公办省级示范性普通高中和部分公办优质一般高中招生计划按一定比例向各初中学校分配录取名额,并在校内(配额单元)按中考总成绩择优录取。
可以参加配额生录取的学生应是,具有就读初中学校的正式学籍,同时具有就读初中学校所在辖区正式户籍或享受本辖区同城待遇的学生。未在初中本校连续就读初二、初三年级的学生不能参与分配给该校的配额生录取。
小贴士:简而言之,配额生主要看的是学校排名。
2024年,在配额生方面,按照省级示范性普通高中和部分一般普通高中面向贵阳市招生计划的50%下达配额生计划,承担配额生招生任务的普通高中学校主要面向本招生区域内各初中学校招收配额生。

统招生
学校按照招生名额,对综合素质评价、非计分科目考评达到升学资格的学生,依次录取分数从高到低的学生。
小贴士:也就是说,根据全市统一组织的普通高中招生考试,计分科目语文、数学、英语、综合理科、综合文科、体育6门考试的总成绩(含加分)作为高中阶段学校招生录取的基本依据。
而非计分科目生物、地理、信息技术、音乐、美术的等级,物理、化学、生物的实验操作等级则作为普通高中学校招生录取的资格条件。
比如,2024年相关政策明确:


配额转统招
若某省级示范性普通高中配额生招生计划未录满,剩余计划转为该校的统招生计划。

定向生
定向生分为三类,一是“六区统筹”定向;二是面向“三县一市”和贵安新区定向;三是区内定向。
“六区统筹”定向
即云岩区、南明区、观山湖区、花溪区、乌当区、白云区6个区进行普通高中招生有条件统筹。2024年,花溪区、乌当区、白云区各区属公办省级示范性普通高中将统招生计划的30%,面向本招生区域以外的“三区一地”和另两个招生区域招生。“三区一地”有配额生招生计划的普通高中学校和另两个招生区域内的公办省级示范性普通高中,共划出等额的招生计划面向该区招生。
面向“三县一市”和贵安新区定向
2024年,贵阳市第一中学、贵阳市第三实验中学、贵阳市第六中学3所省级一类示范性普通高中,面向贵阳市招生计划的2%,面向“三县一市”招生;“三县一市”省级示范性普通高中学校,划出等额招生计划招收本县(市)以外的学生。北京师范大学贵安新区附属学校面向“三区一地”定向招收一定计划的学生。
区内定向
2024年,北京师范大学贵阳附属中学、观山湖区第一高级中学和观山湖区第十一中学面向观山湖区定向招收具有观山湖户籍并在观山湖区内初中学校连续实际就读三年的学生;清华中学面向原小河区定向招收当地户籍或享受同城待遇的考生。
小贴士:综上,定向生主要看的是区排名,配额生主要看的是校排名。中考录取时,先进行配额生录取工作,再完成定向生招生录取,因此,各位同学、家长要根据自身情况,并结合当年相关招生名额等情况进行科学规划哟~
特长生
特长生分为两类:
一是在招生计划中列出5%招收的特长生,即项目计划特长生,由学校制定招生方案,在中考结束至成绩公布前,由学校组织学生报名测试,按招生方案规定的考核录取标准和程序对报名学生进行统一测试,择优预录取考生,并进行公示。中考成绩公布后,对于达到招生方案规定控制线的预录取考生,履行上报审核程序后予以录取。
二是特色学校招收的特长生,即特色学校特长生,由学校制定特长生专业测试方案,在中考结束至成绩公布前,由学校组织学生报名测试,按特长生专业测试方案规定的专业测试标准和程序对报名学生进行统一测试,确定达到专业标准的学生。达到专业标准的学生可填报对应特色学校特长生志愿,并以学业水平考试总成绩为依据,择优录取。

小贴士:2024年,贵阳贵安普通高中特长生专业测试以现场考试方式进行,由市级统筹,统一时间、统一地点、统一测试内容、统一评分标准进行实施。有意愿报考特长生的考生按报考学校要求提供相关报名材料到各项目学校现场报名,每名考生最多只能选报一个项目两个意向学校,多报无效。(多彩黔教通)

填报志愿流程(2024数据,仅供参考)

第一步
https://zk.gyzkzx.cn
http://jyj.guiyang.gov.cn
http://www.gyzkzx.cn
第二步

第三步

第四步

第五步

第六步

与往年不同的是
今年我市首次启用“身份核验”
进一步加强中考填报志愿安全性
具体如何操作
接着往下看吧
第七步

第八步

第九步

第十步

第十一步

第十二步


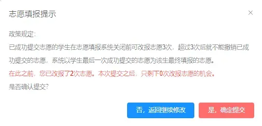
填报志愿注意事项


如何改报志愿

第一步

第二步

第三步


如何填报补录计划志愿

第一步

第二步

第三步

第四步

第五步

第六步


第七步


如何查询录取信息

考生在志愿填报成功后,随时关注考生个人中心—录取结果查询情况,考生及家长可登录系统点击【录取结果查询】查询录取情况,也可根据需要在登录时进行手机绑定接收考生录取信息。如已被某校录取,该页面会显示详细的录取学校、录取批次、录取时间等信息。


其他情况说明


考生可以登录本系统,查看自己的中考成绩。

1.考生可以在个人中心【您可填报学校招生计划查询】中查询自己可以填报的批次及学校。
2.各个批次学校录取结束后,考生可以登录本系统,查看自己的录取情况,如果考生未被招生学校录取,请及时参与【补录计划志愿填报】填报其他学校。

(以上为2024年数据资料,仅供参考)
【北大铭师堂】
汇集优秀师资
5人精品班型管理
让每一位同学都能享受到最贴合自身的教学进度。

新高一5人精品衔接班
5人精品小班
限额招生

课堂介绍
讲解新课标要求下的独有提分做题方法与思路,
拥有完整学习提分构架,
并在中高考中应用率90%以上,
立足中高考,夯实基础,
先入门,再练功,注重培养学生学习兴趣!
课堂氛围严谨高效,
5人精准定制
专注于用最简单的方法解决每一位学生的难题,
捕捉细小漏洞,
让学生在最短的时间内形成完善的体系,
发挥最大的潜能,
提高最多的分数。
【总校区地址】: 贵阳市宝山北路嘉信华庭三楼(临贵州师范大学宝山校区)
【报名电话】 :0851-86889017 13124677881
愿同学们
以梦为马、不负韶华
新高一 这是一个新阶段 也是一个成绩的分水岭 新环境,新心态, 最重要的是新的课程内容, 新的授课方式,新的思维方法……
准备好了么?

最新高考政策
贵州省普通高中高一年级已经全面实施新课程新教材新高考。不少家长和学生都一头雾水,“3+1+2”模式跟原来有什么不同?等级赋分到底是什么?怎么计算?有什么作用?
今天,先从新高考的计分说起。毕竟,分数是大家最关心的部分。其中,等级赋分是新高考的一大特点。
首先,我们先来了解新高考“3+1+2”模式的总成绩是怎么计算的。从2021年起,新高考总成绩(满分750分)=统一高考科目成绩+学业水平考试选考科目成绩,具体如下图:

说明:统一高考科目语文、数学、外语使用原始成绩计入考生总成绩,每门满分150分;选考科目中,物理/历史使用原始成绩计入考生总成绩,每门满分100分;考生在思想政治、地理、化学、生物学中自主选择的两门科目按等级赋分后计入考生总成绩,每门满分100分。
接下来是高考4大升学路径:强基计划、综合评价、春考、秋考。

强基计划:有985成绩,有学科竞赛成绩,希望从事基础学科研究;但需有突出的学科特长和科研能力。
综合评价:有985/211能力,多一次选高校/专业的机会;分数211以上,综合能力优于学科成绩;但需要学科成绩做初步筛选,再看综合成绩。
这就意味着:高考政策之下,不仅看考生的考试分数,还要看考生的综合素质能力。
因此,高中3年一定要提前规划!
考试分数,还要看考生的综合素质能力。因此,高中3年一定要提前规划!
02
初高衔接差异

03
新高一学习指南

初升高衔接有多重要?你知道吗?
知识量猛增3.5倍,需要找到正确的学习方法快速消化!
知识难度大跨越,所学知识更加抽象,理解难度大。
学习进度节奏快,要避免“消化不良”及“负债”窘况。
单科综合强度高,应灵活运用所学知识突破单科难点。
自主学习要求高,要化被动为主动,学以致用发挥优势。
难度加大——“初升高”是道门槛
进入高中后,很多新生在很多方面都感到不适应。学生们反映的问题很多,包括学习内容、方式等等各个方面。
具体来说,高一新生觉得“高中学习难”的主要原因有如下几个方面:
高中学科多、节奏快,功课要靠理解去掌握,不能再死记硬背了;
不太习惯高中的自学方式;学习方法和习惯还停留在初中阶段;
老师上课速度快,跟不上老师的思路;
上课能听懂,课后作业不会做;
理科尤其是数学和物理跟不上老师的节奏;
不能有效地支配时间;
高中的竞争比初中大幅提高;
对高中生活不能很快适应。
新高一接——“缓坡”进入高中
与其在高一开学跨一个“大槛”,不如现在就着手准备,从初升高衔接班的“缓坡”进入高中学习。
其实,中考成绩无非就是对初中学习结果的一次检验,分数高低,都不代表今后的人生成功或失败。高中三年的学习才至关重要。虽然中考的好坏,直接决定进入重点还是一般的高中就读,但是只要保持良好的状态,认真学习,三年后,都有机会考进名牌大学。
所以,对已过去的中考成绩不必过分在意,避免出现沾沾自喜或自暴自弃的思想。

提前适应不慌张
衔接班不只是串讲知识,更重要的是心理准备、学习方法、学习习惯等诸多方面的指导和培养。高考的竞争从中考结束起就已经大幕开启,与其为电视和网络诱惑,不如走进课堂,享受名师的春风化雨。
课程内容



高一决定高考
怎能少得了牛师辅导
高一数学代课老师
【J老师】
任教16年,曾两次获得市讲课比赛一等奖,教学沉淀深厚

高一物理代课老师

【R老师】1.物理竞赛优秀教练员,辅导学生先后40余人获奖;
2.喜欢研究,善于总结和拔高,使疑难问题简单化,对物理核心思想方法的提炼使学生快速突破疑难点,深受学生们喜爱。

高一化学代课老师
【Z老师】高中化学教研组核心成员;在多年的教学经验中,善于总结,得出诸多将难题拆分简单化的口诀和技巧,方便学生着手应用,引导学生探索,力求每个学生都能牢牢掌握所学知识点,上课内容细致清楚,逻辑性强,风格风趣幽默,深受学生喜爱。

高一英语代课老师
【X老师】对于初高中英语学习有自己独特的“1+1+1”方法,让英语语法学习变得不再枯燥,学生听一遍就能懂;善于将单词句型与最新时事结合在一起,找准切入点让学生轻松掌握单词用法;历年所带学生都可以轻松的环境下掌握英语知识,领悟考试要点。
高一语文代课老师
【C老师】从事语文教学12年,课堂“雅俗共赏”——充满语文的典雅,干货满满,又深入浅出,独具一格的课堂风格深受学生的青睐。


提前适应不慌张
衔接班不只是串讲知识,更重要的是心理准备、学习方法、学习习惯等诸多方面的指导和培养。高考的竞争从中考结束起就已经大幕开启,与其为电视和网络诱惑,不如走进课堂,享受名师的春风化雨。
新高一课程内容


【北大铭师堂】
汇集优秀师资
5人精品班型管理
让每一位同学都能享受到最贴合自身的教学进度。

新高一5人精品衔接班
5人精品小班
限额招生

课堂介绍
讲解新课标要求下的独有提分做题方法与思路,
拥有完整学习提分构架,
并在中高考中应用率90%以上,
立足中高考,夯实基础,
先入门,再练功,注重培养学生学习兴趣!
课堂氛围严谨高效,
5人精准定制
专注于用最简单的方法解决每一位学生的难题,
捕捉细小漏洞,
让学生在最短的时间内形成完善的体系,
发挥最大的潜能,
提高最多的分数。
【总校区地址】:贵阳市宝山北路178号嘉信华庭三楼(临近贵州师范大学宝山校区)
【报名电话】 :0851-86889017 13124677881







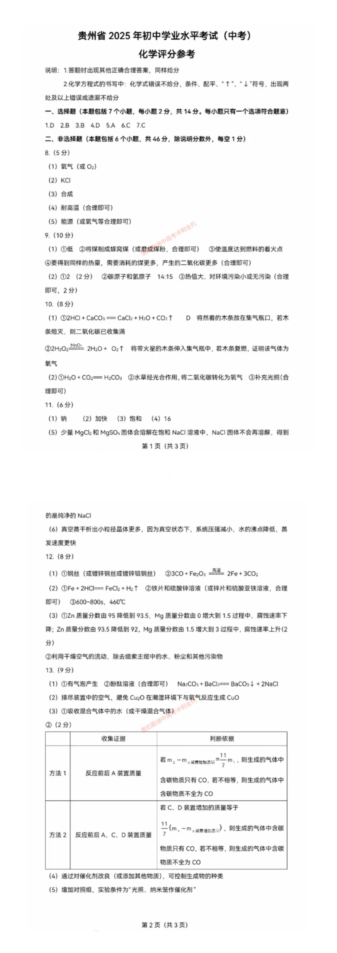
中考英语贵州省2025年中考英语高清版





贵州省 2025届中考【物理】真题卷







中考数学真题














这个世界,远远比我们想象的要精彩万分。
星辰大海,山河湖泊,不努力如何靠近它们?
能轻而易举毫不费力得到的,
只有贫穷和衰老。
每个努力超越自己的你
都是好样的!


【长按二维码关注,学习路上,点亮前方】
北大铭师堂(贵阳市云岩区勤渊培训学校)VIP5人精品班报名中
精品定制.精准提升 . 拒绝喧嚣浮华的大班
2026届高三全日制VIP5人精品全托班
1)VIP白金一对一精品班
2)VIP五人精品强化班
VIP精英5人班(三人起可自行组班,自定时间 随时开班)

高三5人精品班:数学英语物理化学生物地理历史政治
高一5人精品班:语文数学英语物理化学
高二5人精品班:语文数学英语物理化学
初高中各科VIP一对一 VIP精英5人班

全学科辅导·全方位负责·横扫各科知识盲点!

一个把教学落实到每一节课的学校,
一个专注于中低分高考冲刺的学校。
打基础,改习惯,就在北大铭师堂!
咨询报名热线:0851-86889017 13124677881
【总校区地址】:贵阳市宝山北路178号嘉信华庭三楼(临近贵州师范大学宝山校区)