中考数学“填空+选择”解题技巧,90%的孩子都说管用!

四季读书网 17 0
中考数学“填空+选择”解题技巧,90%的孩子都说管用!
方法一:直接法
中考数学“填空+选择”解题技巧,90%的孩子都说管用! 第1张
方法二:特例法
中考数学“填空+选择”解题技巧,90%的孩子都说管用! 第2张
中考数学“填空+选择”解题技巧,90%的孩子都说管用! 第3张
方法三:数形结合法
中考数学“填空+选择”解题技巧,90%的孩子都说管用! 第4张
中考数学“填空+选择”解题技巧,90%的孩子都说管用! 第5张
中考数学“填空+选择”解题技巧,90%的孩子都说管用! 第6张
方法四:猜想法
中考数学“填空+选择”解题技巧,90%的孩子都说管用! 第7张
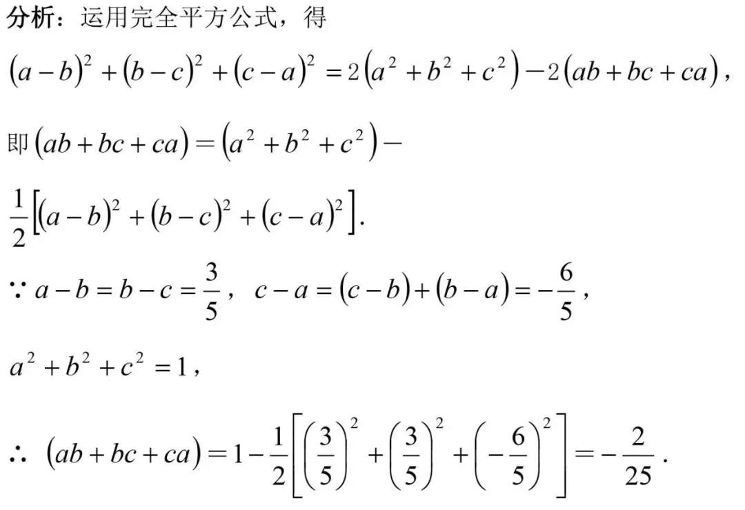
方法五:整体法
中考数学“填空+选择”解题技巧,90%的孩子都说管用! 第8张
中考数学“填空+选择”解题技巧,90%的孩子都说管用! 第9张
方法六:构造法
中考数学“填空+选择”解题技巧,90%的孩子都说管用! 第10张
中考数学“填空+选择”解题技巧,90%的孩子都说管用! 第11张
方法七:图解法
中考数学“填空+选择”解题技巧,90%的孩子都说管用! 第12张
方法八:等价转化法
中考数学“填空+选择”解题技巧,90%的孩子都说管用! 第13张
中考数学“填空+选择”解题技巧,90%的孩子都说管用! 第14张
中考数学“填空+选择”解题技巧,90%的孩子都说管用! 第15张
中考数学“填空+选择”解题技巧,90%的孩子都说管用! 第16张
方法九:观察法
中考数学“填空+选择”解题技巧,90%的孩子都说管用! 第17张
方法十:减少失误法
例13.一个圆柱的底面半径为1米,它的高为2米,则这个圆柱的侧面积为     平方米。(精确到0.1平方米)。
有的考生直接把求出的4 π 作为结果而致错误,正确答案应当是12.6。 其次,若题干没有附加条件,则按具体情况与常规解题。
第二,应认真分析题目的隐含条件。
方法十一:隐含条件法
例14.等腰三角形的一边等于4,一边等于9,则它的周长等于
个别考生认为9和4都可以作为腰长,而出现两个答案22和17,这是他们忽视了“三角形二边之和应大于第三边”这个隐含条件,应填22。
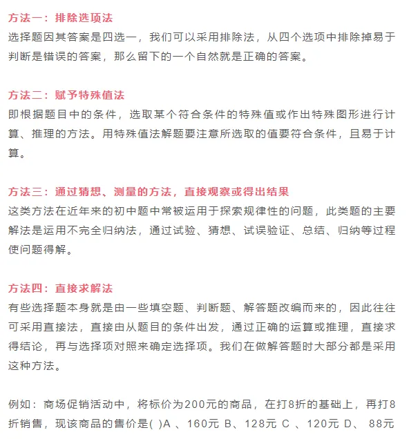
二、选择题解法大全
中考数学“填空+选择”解题技巧,90%的孩子都说管用! 第18张
中考数学“填空+选择”解题技巧,90%的孩子都说管用! 第19张
|来源:网络,如有侵权,请联系删除。

抱歉,评论功能暂时关闭!