
第一步:点击公众号名片关注

(关键字的回复位置,如上图所示)
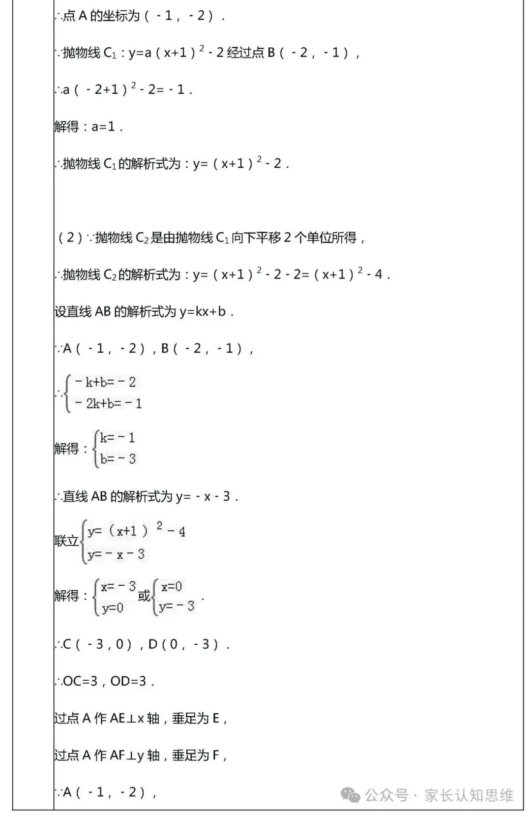
因篇幅限制,以下内容为预览模式


大家好,我是马老师,今天给大家整理了35道几乎适合于各地的中考数学压轴题合集。这篇文章主要讲学习、复习方法的内容,不想看,可以直接向后滑,看具体题目内容。
孩子如果已经上毕业班,那就抓紧帮孩子打印出来
基础好的孩子,每天研究一道
基础中等的孩子每两天吃透一道题都可以。
基础弱的孩子,一个星期吃透一道题,也能提升。
说过了使用方法,这里解释一下为什么?
基础好的孩子,我觉得没有必要多说,大题之间的细节差距是拉开一个普通高中和重点高中的一个重要指标。基础好的孩子,必须脑海中有足够的大题模型,这样在真正考试的时候,才能做道思路清晰、心理不慌。而这35个压轴模型,题目经典涵盖广,适合优秀的孩子好好学习研究。
每年都有很多中等生抱怨或者给自己解释:哎呀,最后的题目本来我也是会的,但是时间不够。某一个题我就忽略了一个细节没有拿到分……
总之是各种看上去合理的解释,实际上都是对知识点或者题目模型没有吃透,所谓:一看题目开窍了,一座题目就废了,老师一讲开悟了,下次再考又废了,就是一些中等生的真实场景。
所以,基础好的孩子,练习做题速度和模型的巩固度。基础中等的孩子,做题的时候慢点,注意里面的分析和做题的细节。
例如,这个题我懂了,也会做了,为什么我的方法比答案要复杂?或者说,为啥我写的比答案更简单,到底谁是对的,谁的更优?2个星期过后,这个题目我还能飞快地想出答案吗?
所以,中等生做题要慢一点,1-2天,或者2-3天慢慢消化一个题目就行,重点要学会反问,这个题考察了我什么,我哪几个点没有搞清楚,让我做题速度慢了?
带着这种反思,孩子做题速度回越来越快。
接下来说一下基础偏弱的孩子,这里的偏弱是指成绩在及格线左右或者60-70分的孩子。
在学习或者研究这些题目的时候也不要怕,不要觉得自己不行。
基础弱的孩子,要去仔细分析每个题目的已知条件和隐含条件,先把题目搞懂。
这里的搞懂,不是说必须会做,而是知道:题目条件有那些?让求的是那些?这个题目是动点问题为主,还是三角形问题为主,是二次函数?还是考察的圆为主?
注意,我这里用了一个词【为主】
为什么这么说,因为一个压轴题也好,综合题也好,考察的肯定不是一个知识点,而是很多大小的知识点综合在一起。
找到哪个为主了,这时候跟着答案的思路慢慢研究,就不会跑偏。也不会觉得思路混乱
接下来研究题目中的分析部分,在看题目中的每个步骤,每个步骤是怎么来的?前后关系是什么?步骤中的一些结论,你能不能在展开证明一下。
例如,做题的过程中,可能用了一个切线长定理,这时候,要去思考,切线长定理在课本中是怎么讲的?有那些简单的题目我以前是会的,有那些题目我是不会的。
如果题目中用了一个三角形相似,它看似粗略地证明了一下,利用了相似的等比例性质,这个时候你能不能,自己在草稿纸上,把这个相似的过程单独证明一下。
说的简化一些,基础弱点同学,就是需要把这些题目掰开了、揉碎了慢慢消化,几天搞懂一个题目都没有问题,不要担心慢。
因为,你看似在搞懂一个题目,实际上你是利用这个压轴题的答案来复习其他相关知识。
所谓慢就是快也是这个道理。
有人说我花钱请老师讲不就得了吗?一对一,比这么研究是不是更轻松效果更快!
我原来就是主要做一对一的,也是主要培训老师的,一个优秀的老师的不是讲多少题,而是按照我上面的思路引导着孩子正确思考。
可是实际情况,确实很多的所谓老师,只知道讲,却忽略了怎样引导孩子在大脑中建立知识体系和思路体系,这也是为什么很多孩子花钱很多,提分很少的原因。
好好读读上面的内容,也许你也能成为下一个逆袭之星或者学霸。
时间仓促,请忽略我词不达意或者错别字的地方。理解思想就是你巨大的收获。









































中考数学压轴题35道下载方法:
第一步:点击、关注下方公众号【中小学生学习好帮手】
第二步:回复关键词:1213
