


时光不会被辜负,勿忘初心,从今日起!

为测定某铁样品中铁的含量,现将20g生铁样品加入到100g稀硫酸中恰好完全反应(杂质不溶于水,也不与酸反应,杂质中不含铁元素),实验过程及测得数据如下:

请回答:
(1)写出上述反应的化学方程式___;
(2)根据质量守恒定律,求解反应生成气体的质量为__;
(3)根据生成气体质量求解参加反应的铁的质量(x)的比例式是__;
(4)该生铁样品中铁的质量分数为__;
(5)过滤后滤液的质量为__。





请你参与下列实验活动并回答有关问题:

(1)图中仪器a的名称是_______。
(2)实验室用高锰酸钾制取氧气可选其中的_______(填序号)作为发生装置,反应的化学方程式为_______。要收集较纯净的氧气,最好选用的收集方法是_______。已知实验室用二氧化锰和浓盐酸加热制取氯气,可选择的发生装置是_______。
(3)实验室用锌和稀硫酸制取氢气时,图中能控制反应随时发生、随时停止的装置有_______(填序号)。
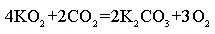
(4)某些空气净化剂含超氧化钾,其净化原理为:

该方法一般不用于实验室制取氧气的原因是_______(写一点即可)。



完




喜欢点在看哦

新的起点是成功的开端,目标是行动的航标。一个人生活中没有任何目标,就如大海中漂泊的孤舟,不是稳步前进,而是随波逐流。