小学数学学得好,背后的原因,你注意到了吗?

四季读书网 61 0

点击👇下方【小学数学预习】,加星标★

1、抽象思维
小学的计算题
小学数学学得好,背后的原因,你注意到了吗? 第1张
只要细心和熟悉运算法则,都能够顺利解决。
初中的计算题
小学数学学得好,背后的原因,你注意到了吗? 第2张
值得一提的是,随着代数式学习的深入,方程和函数也会逐渐出现,而这两个中考难题的罪魁祸首,确实折煞了不少考生。
2、逻辑思维
在深入探讨之前,我们先来看一道很“简单”的题目:
例2 证明AB+AC >BC+CD。
小学数学学得好,背后的原因,你注意到了吗? 第3张
这种“显然可得”的题目在初中是需要严谨证明的
小学数学学得好,背后的原因,你注意到了吗? 第4张
培养逻辑思维,需要孩子养成良好的答题习惯:不跳步、不省略、使用规范的数学语言。
特别是初一刚起步时,一定要模仿标准答案的过程,尽快掌握并熟练书写规范的解题过程,保证不再过程上丢分。
3、数形结合
数形结合思维,是中学数学最为重要的能力之一,对学生的要求也很高。
例 已知|x-2|+|x-4|=6,求x的值。
这道题有两种解法,一种是零点分段法,一种是数形结合法。
数形结合法如图。
小学数学学得好,背后的原因,你注意到了吗? 第5张
培养数形结合思维,需要对每个知识点都融会贯通,能够挖掘并掌握各个知识点的本质,继而打破代数和几何的堡垒,达到“以形助数,以数助形”的境界。
4、分类讨论
例 已知a,b为任意实数,x为未知数,且ax=b,求x的值。
大意的同学很开心,直接把左右同时除以a,得到x=b/a。
那么这一题就离他远去了,正确的解法应该是什么?(如图)
小学数学学得好,背后的原因,你注意到了吗? 第6张
分类讨论思想就非常极致地体现了数学的严谨性,作为一门基础性的学科,数学是所有理科的架构。
只有很好的掌握了分类讨论思想之后,才能时刻保持一个严谨的态度对待数学甚至是以后别的理科科目,才能在考试中拥有考取高分的资本。
5、方程思想
鸡兔同笼是小学奥数的常见题型。许多小学算术应用题都可以转化成这类问题,或者用解它的典型解法——“假设法”来求解。
例 有若干只鸡兔同在一个笼子里,从上面数,有35个头,从下面数,有94只脚。问笼中各有多少只鸡和兔?
首先我们来用小学最常用的假设法来解
小学数学学得好,背后的原因,你注意到了吗? 第7张
而在初中,我们通过方程可以快速准确解决这道问题
小学数学学得好,背后的原因,你注意到了吗? 第8张
问题的复杂度越高,方程对我们思维能力的节省度就越多。
所以如果思维能力一定,那用方程就可以解决更困难的问题。工具的意义就在于让解决问题变简单,在于让人有能力解决更困难的问题,方程就是这样一种很好的工具。
6、普适思维
对于某些具有一般性的数学问题,如果一时难以解决,学生往往会想到通过特殊情况来解决。
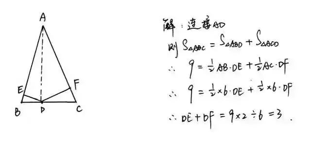
例 在△ABC中,AB=AC=6,D是BC边上任意一点,过点D分别作DE⊥AB,DF⊥AC,分别交AB、AC于点E、F.
已知三角形的面积为9,求DE+DF的值.
小学数学学得好,背后的原因,你注意到了吗? 第9张
用特殊情况求解,我们假设D点刚好与C点重合,但这不是用于大题解答,正确的解法如下图。
小学数学学得好,背后的原因,你注意到了吗? 第10张
普适思维,就是考虑问题是否具有一般性,结论是否满足所有情况,而不仅是特殊情况。
再往后的话,进入高中的学习后,我们要求学生掌握的就不仅是从特殊情况推广到一般问题,还要一般情形应用到特殊问题上,因此普适思维不管在初中还是高中,都是非常重要的数学思维方式。
7、深挖思维
在小学的学习中,学生学的内容是比较零散且浅显的,就拿“圆”这个知识点来说,在小学我们只要掌握圆的周长和面积的计算即可
小学数学学得好,背后的原因,你注意到了吗? 第11张
而进入初中之后,跟圆有关的知识点会更加深入及发散
小学数学学得好,背后的原因,你注意到了吗? 第12张
单就“圆”这一个概念来看,小学与初中不管在知识体量还是难度上都是相差甚大,这对于学生来说既是一种学习压力的挑战,也是一种深挖思维的训练。
8、化归思维
例 关于的不等式 x+2>3/x ,则x的取值范围是_______.
小学数学学得好,背后的原因,你注意到了吗? 第13张
根据图象可以快速判断的取值范围是:x>1或-3<x<0.
化归不仅是一种重要的解题思想,也是一种最基本的思维策略,更是一种有效的数学思维方式。
所谓的化归,就是在研究和解决有关数学问题时采用某种手段将问题转化,将复杂问题转化为简单问题,将难解的问题转化为容易求解的问题,将未解决的问题转化为已解决的问题。
◆◆◆

北师大版四年级数学下册期中测试卷(含答案)

2024-05-08

小学数学学得好,背后的原因,你注意到了吗? 第14张

北师大版五年级数学下册期中测试卷(含答案)

2024-05-08

小学数学学得好,背后的原因,你注意到了吗? 第15张

北师大版六年级数学下册期中测试卷(含答案)

2024-05-08

小学数学学得好,背后的原因,你注意到了吗? 第16张

▍标签:小学数学预习  新学期预习   

来源:素材来源网络,如涉及侵权,请联系删除!
商务合作微信:JJYYshangwu  
//
免责声明
1.本公众号部分转载的文章、图文、视频来自网络,其版权和文责属原作者所有,若来源标注错误或侵犯到您的权益,烦请告知,我们将立即删除。
2.本公众号编辑部工作人员的原创文章,其版权属于我们微信公众号所属主体。
3.本公众号特约稿原创文章,其版权和文责属作者所有。
4.若要转载原创文章用于商业用途,请联系我们,未经同意不得转载。任何转载请注明文章来源。如有问题,请联系我们,谢谢!

--------------- 小学数学 ---------------

始 于 兴 趣 ,  衷 于 满 分

阅读原文
,领数学预习资料!

抱歉,评论功能暂时关闭!