【中考计算专题】2024年中考专项突破-二次根式计算题(文末下载)

四季读书网 53 0
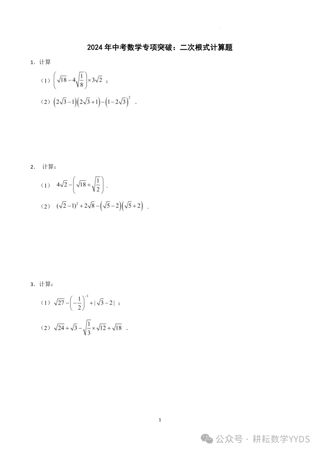
【中考计算专题】2024年中考专项突破-二次根式计算题(文末下载) 第1张
【中考计算专题】2024年中考专项突破-二次根式计算题(文末下载) 第2张
【中考计算专题】2024年中考专项突破-二次根式计算题(文末下载) 第3张
【中考计算专题】2024年中考专项突破-二次根式计算题(文末下载) 第4张
【中考计算专题】2024年中考专项突破-二次根式计算题(文末下载) 第5张
【中考计算专题】2024年中考专项突破-二次根式计算题(文末下载) 第6张
【中考计算专题】2024年中考专项突破-二次根式计算题(文末下载) 第7张
【中考计算专题】2024年中考专项突破-二次根式计算题(文末下载) 第8张

2024年中考数学专项突破:二次根式计算题.pdf

抱歉,评论功能暂时关闭!