👆点上面然后关注看更多知识,公众号菜单查看可更多内容
(点下方图片了解终身会员课程详情)
有网友留言说想看南通十年,安排!


2013-2022十年南通中考最后两压轴题剖析:
2013南通27分类讨论周长







2013南通28抛物恒垂





2014南通27函数做最值!






2014南通28包装等角存在






2015南通27分类讨论周长






2015南通28等腰存在两动一定






2016南通27线段恒长




2016南通28比值存在性





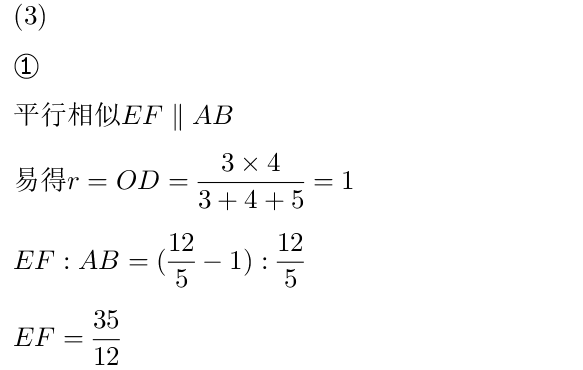
2017南通27相似求长






2017南通28解析几何求长



2018南通27瓜豆应用




2018南通28函数求范围










2019南通27静态几何硬算,用12345秒掉






某网站给出的标准答案,用了四次相似!

2019南通28函数几何计算






2020南通中考压轴题
2021南通中考压轴题
点击链接
2022南通中考压轴题
(本集完)
快转发给朋友让他好好学习吧!
您的分享就是对我最大的支持!

系统学习几何模型课程:
往期精品文章汇总点击下方链接查看:
100多个系列汇总:几何模型20个系列+模型新补15个系列+进阶模型18个系列+解题策略14个系列+交互探究9个系列等…
免费分享的资料,公众号聊天发送“资料”查看
如有疑问点击:
各类讲义、教案、资料、动态课件、源文件下载都在教师qq群群文件里,想要学习提升自己、学术交流探讨的老师请加群。
来自群文件
部分动态课件图:
欲加入几何数学联盟请加我微信:
(长按下图识别二维码)

