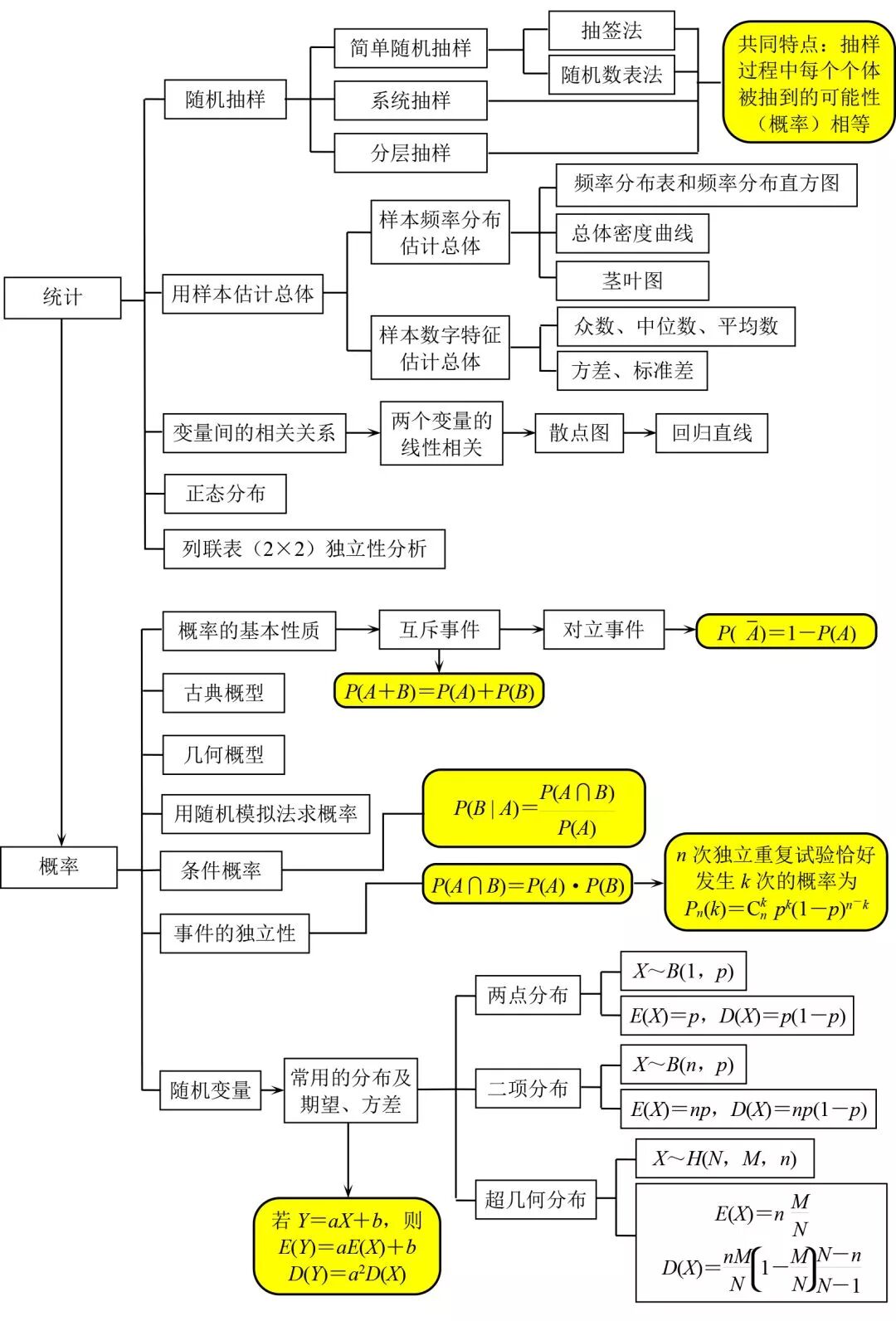
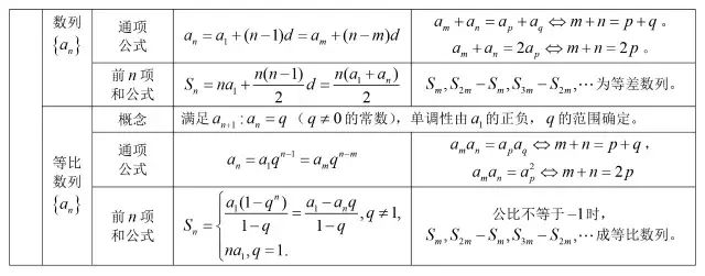
高中数学成绩不好,其原因无非就两点,一是基础知识不牢,二是没有一个好的方法,对于题型理解不透,思维能力不强,所以说,只要解决了这两大问题,那么,高中阶段的数学学习也就没有多大问题了。
今天为同学们总结了高中数学【基础知识归纳】!轻松记忆拿高分!












































































高中数学成绩不好,其原因无非就两点,一是基础知识不牢,二是没有一个好的方法,对于题型理解不透,思维能力不强,所以说,只要解决了这两大问题,那么,高中阶段的数学学习也就没有多大问题了。
今天为同学们总结了高中数学【基础知识归纳】!轻松记忆拿高分!












































































抱歉,评论功能暂时关闭!